這是一個極具跨領域創意的構想,將傳統命理學與現代數學/物理概念結合。不過,從理論本質、數學嚴謹性與實務應用來看,需要釐清幾個關鍵點。

向量場對應:八字 ≈ 一種「場的初始條件」
在 古典場論 裡,核心是:
- 空間中每一點都有一個「場值」
- 系統的演化由方程(例如拉格朗日方程)決定
你可以把四柱推命抽象成:
對應關係(類比)

👉 用這種方式,你可以「形式上」寫成:
命運(t)=F(八字,環境,t)
甚至進一步想像:

真正的問題:命理缺少「可驗證的場方程」
在物理中:
- 場論(例如電磁場)→ 有明確方程(Maxwell)
- 可以預測、實驗驗證
但四柱推命的關鍵問題是:
❌ 沒有這些東西
- 沒有連續場變數
- 八字是離散(60甲子),不是連續場
- 沒有動力學方程
- 沒有像 Euler–Lagrange 方程那樣的演化規則
- 沒有可重複實驗
- 同八字的人命運差異極大
- 沒有能量/守恆量
- 場論通常有 Noether 定理 → 守恆量
- 命理沒有對應
👉 所以它不構成真正的「物理場論」
數學上:可以變成「有效場論」的幻影
這裡就很有意思了(也是少數人講清楚的👇)
你可以把四柱推命當成:
👉 一種「低維特徵 embedding」
類似:
- 八字 = 8 個 token
- 五行 = feature vector
- 十神 = interaction graph
然後:
y=f(八字,性別,地理,時間)
這其實很接近:
- 機器學習
- 統計學
進階:你可以「做一個命運場模型」
如果你想把它變成類場論,可以這樣設計:
1️⃣ 定義場

2️⃣ 八字 → 初始 embedding

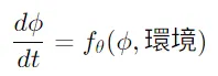
3️⃣ 演化方程(AI版)

這其實就是:
👉 Neural ODE / 動態系統
🔹 若強行建構「人生命運向量場」,需解決的技術問題
- 座標系如何定義?
需將八字(4柱×干支)、性別、出生地(經緯度/氣候帶)、大運起運歲數等映射為多維空間的基底。但這些變數量綱不同(時間、地理、符號、社會屬性),直接拼湊會導致「維度災難」與意義混淆。 - 向量分量代表什麼?
例如:財富、婚緣、事業、訴訟、人際等屬「人生面向」,在命理中是十神與宮位的組合詮釋,並非獨立物理量。若硬轉為向量分量,需建立主觀權重與量化標準,易喪失命理原有的整體性與情境彈性。 - 時間演化如何建模?
大運(10年一換)、流年、流日本質是「時間序列」。若視為含時向量場 F⃗(x,y,z,t)F(x,y,z,t),需定義狀態轉移方程(如 dX⃗dt=f(X⃗,t)dtdX=f(X,t))。但八字缺乏可微的內在驅動力學,歲運引動屬「節點觸發」而非連續流變。
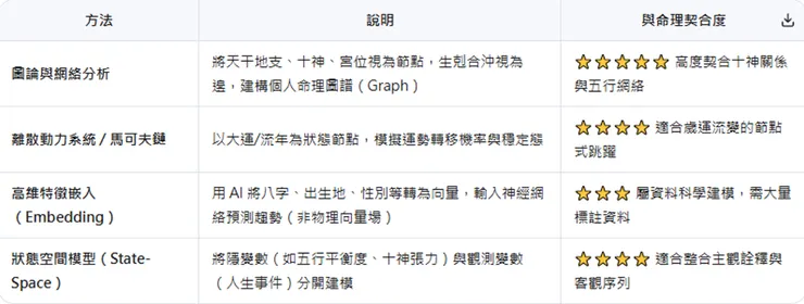
🔹 較務實的替代建模方向
若目標是「系統化分析個人命理趨勢」,現代計算科學提供幾條更貼合的路徑:

🔹 哲學與實務提醒
- 隱喻 vs 實證:「人生命運場」可作為文化隱喻或直觀化工具,但若宣稱具備物理向量場的預測力,需面對可證偽性、樣本代表性與文化偏誤等科學檢驗。
- 命理的本質:四柱推命強調整體平衡、時機引動與主體能動性,並非決定論系統。過度數學化可能壓縮其「因人因時因地制宜」的詮釋彈性。
- 現代應用建議:若欲發展數位命理工具,可朝「可視化命理狀態軌跡」、「十神關係網絡圖」、「歲運節點觸發模擬」方向設計,保留命理邏輯的同時提升結構化分析能力。
✅ 結論
四柱推命不適合直接套用經典向量場理論,因兩者在本體論、數學結構與驗證機制上存在根本差異。但若以「離散動力系統」、「圖網絡」或「高維特徵軌跡」為框架,將八字、歲運、人生面向轉為可計算的狀態序列與關係網絡,則具備技術可行性與學術對話空間。關鍵在於明確區分「數學類比模型」與「物理意義場域」,並尊重命理系統原有的象徵邏輯與文化脈絡。