簡單講一句核心理由:
👉 γ 射線(gamma ray)既「容易產生」於暗物質湮滅/衰變,又「幾乎不被宇宙吸收」,而且背景相對可辨識。所以它是搜尋暗物質最直接、最乾淨的訊號之一。
一、暗物質如何產生 γ 射線?
假設暗物質粒子 χ\chiχ:
1️⃣ 湮滅(annihilation)

👉 這些粒子會進一步:
- 衰變
- 強子化(hadronization)
👉 產生:
- π⁰ → γγ(兩個 γ 射線)
👉 所以:
👉 γ-ray 是「最終穩定產物」之一
2️⃣ 直接產生(更乾淨)
某些模型:

👉 會產生:
👉 單一能量的 γ-ray(line signal)
👉 這是「黃金訊號」(幾乎無背景)
二、為什麼偏偏選 γ-ray?
1️⃣ 幾乎不被吸收(穿透力強)
- γ-ray 是電磁波
- 不帶電
- 幾乎不與星際介質作用
👉 可以從:
👉 銀河中心 → 直接飛到地球
2️⃣ 方向性好(可以定位)
不像:
- 宇宙射線(會被磁場偏轉)
👉 γ-ray:
👉 保持原始方向
👉 可以追蹤來源:
- 銀河中心
- 矮星系
3️⃣ 能量尺度剛好
暗物質質量(典型):
- GeV – TeV
👉 對應:
👉 γ-ray 能量正好在可觀測範圍
4️⃣ 背景可建模
γ-ray 背景來源:
- 超新星
- 脈衝星
- 活動星系核
👉 雖然存在,但:
👉 可以用天文模型扣除
三、觀測重點區域
🔥 銀河中心
- 暗物質密度最高
- 訊號最強
👉 但背景也最複雜
⭐ 矮橢圓星系(dwarf spheroidal galaxies)
👉 特點:
- 暗物質多
- 幾乎沒有恆星活動
👉 優點:
👉 背景非常乾淨
四、實際觀測工具
例如:
- 費米伽瑪射線太空望遠鏡
- H.E.S.S.
- MAGIC
👉 目前結果:
👉 還沒有確定的暗物質訊號
(但有一些「疑似 excess」,例如銀河中心 γ-ray excess)
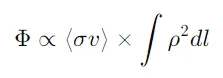
五、和截面(σv)的關係
γ-ray flux:

👉 兩個關鍵:
- 粒子物理(σv\sigma vσv)
- 天文分布(密度平方)
👉 所以:
👉 γ-ray 是「粒子物理 + 宇宙學」的交叉訊號
六、和其他方法比較

👉 γ-ray 是:
👉 最平衡的一種方法
七、更深一層
為什麼特別常看到 γ-ray?
👉 因為在 量子場論 中:
- 電磁場是「最容易耦合的自由場」
- 高能過程 → 很容易輻射光子
👉 換句話說:
👉 光(γ-ray)是高能物理的「自然出口」
八、一句話總結
👉 我們用 γ-ray 搜尋暗物質,是因為它既容易產生、能直線傳播、又能反映暗物質分布,是最直接的天文訊號之一
















