寫文章的當下是11/29,目前流出的都是過去幾天的消息,目前沒有最新的狀況,感覺是被中國政府封鎖了。
起因
起因不想寫多,因為大家聽到的差不多,在11/24新疆烏魯木齊的某棟公寓失火了,但裡面的人因為中國政府對於疫情的管控,人出不去,活活被大火燒死,然後群眾們這幾年累積的情緒,就爆發了。嚴格的管控是主因,加上全世界都逐漸開放了,結果中國還在嚴格管控這一套,久了,各種方面都會受影響,尤其生計/收入方面,應該是影響很大。
白紙革命
在11/26,南京傳媒學院的學生自發聚集,一同調念悼念11/24新疆烏魯木齊大火的死者,舉起白紙喊出「人民萬歲,逝者安息」口號,該校長到場恫嚇學生,總有一天要為自己所做的一切付出代價,瞬間引爆學生怒火。
至此被管控了長時間的中國人民,也紛紛開啟暴動,也多個大學學生串聯開始了抗議活動,尤其11/27上海烏魯木齊路上的抗議活動,在推特上也一直轉發,尤其還看到了,有警車直接衝撞並輾壓群眾。
根本64場景再現。
看來中共過了30年,還是學不乖,總是用這類的手段去對付人民。
自由,怎麼那麼難寫
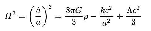
北京清華大學學生手上拿的A4紙,和一般民眾手上,一片白的有些不同,他們上面寫了一串公式,那是傅里德曼方程式,英文是Friedmann,發音類似Freeman(自由的人)。
當看到的人,都在感嘆不愧是清華的學生,寫出來的東西真的不一樣時,卻看到有一個人的留言是:自由,怎麼那麼難寫...
是阿,在那個充滿監管的國家,自由,真的很難...很難...

後語
對於那些還想武統台灣的,我只想說:
希望你們理解台灣的痛苦。
就如同你們目前感受的痛苦。
既使多年前同出一脈,而後也該自成一家,相敬如賓,各自安好。
祝福
對於那些挺身而出的人:
對抗極權,都是會見血的。
當你們願意挺身而出,為了自由而對抗時,我們某方面來說,已經成為了朋友。雖然我無法幫到你們,但我給予我的祝福,願你們一切順利、平安。
願你們,自由。


























