縱貫式中介模型(Longitudinal Mediation Model)是研究隨著時間的改變,變數X如何通過中介變數M影響變數Y的統計模型。它是長期觀察和分析數據的有用工具,可以揭示X和Y之間的關係以及中介變數M在這個關係中扮演的角色。本文將介紹縱貫式中介模型Mplus操作
事實上,在真實世界中,自變項會發生在中介變項之前,而中介變項在依變項之前。因此中介效果非常適合用在縱貫式研究資料當中。例如:研究者關心人格(自變項)先影響思考(中介),而思考再影響行為(依變項)。再縱貫式中介模型之前,我們先講解沒有中介變項的交叉延宕模式(Cross‐lagged modle)。請注意,下面介紹的模型中包含潛在構面的模型都建議要通過縱向測量衡等性
因為我們要確定在不同時間中,我們測量到的是不是同一個構念。
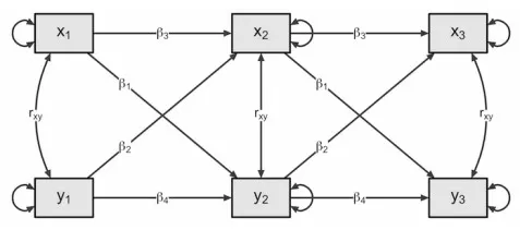
交叉延宕模式(Cross‐lagged modle)
交叉延宕模式(Cross‐lagged modle)主要關注自變項和依變項在不同時間的影響,當資料有收集不同時間點的資料,可以將前面時間點之自變項預測後面時間點的依變項;前面時間點之依變項預測後面時間點的自變項。若將前一期預測後一期相同自變項,也就是自我迴歸,這樣模式稱為自我迴歸交叉延宕模式,此模式對於了解變項之間的因果關係有非常大的幫助。

Mplus操作如下
SAMPSTAT選項用於請求正在分析的數據的樣本統計信息。對於連續變量,這些包括樣本平均數、變異量、共變量之類。
Model:
x2 on y1 x1; x3 on y2 x2 ;!X交叉延宕+自我迴歸
y2 on x1 y1; y3 on x2 y2; !Y交叉延宕+自我迴歸


















