正所謂「套件」如其名,Pandas 運算套件在資料處理領域的受歡迎程度完全可與善於賣萌的大熊貓相媲美。當然,Pandas 的名稱其實來自經濟學術語—面板資料 (panel data)。
眾所皆知,金融領域存在巨量的資料處理與分析,而Pandas 運算套件就是當時就職於AQR Capital Management的韋斯·麥金尼 (Wes McKinney) 為了金融資料的定量分析從2008 年開始開發的,它本質上是在NumPy 陣列結構基礎上建構的,並納入了大量的套件以及標準資料模型。在2009 年底,Pandas 實現了開放原始碼。如今它已經應用於許多領域的資料探勘、篩選、處理、統計和輸出。以下,為Pandas 運算套件對資料以及檔案的應用。
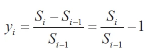
下面以股票為例講解如何計算收益率。如圖1所示為某幾天股價走勢,不考慮分紅,股票日簡單回報率yi 可以透過式(1) 獲得。

利用pandas_datareader 運算套件可以下載股票歷史資料,並繪製如圖2 所示股價走勢圖。沒有安裝這個運算套件的讀者需要提前安裝。
如圖3展示的是基於圖2股價資料計算得到的日簡單回報率。圖4中5 條紅色畫線從上至下分別為:μ + 2σ、μ + σ、μ、μσ 和μ2σ。μ為日簡單回報率平均值,σ 為日簡單回報率均方差。如圖5所示為日簡單回報率分佈長條圖;可以發現回報率展現出類似正態分佈的有趣現象。基於μ 和σ,可以得到日簡單回報率的常態擬合,如圖6所示。圖6長條圖左尾展現出明顯厚尾 (fat tail) 現象。




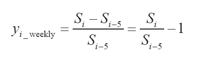
周簡單回報率可以透過式(2) 計算獲得。

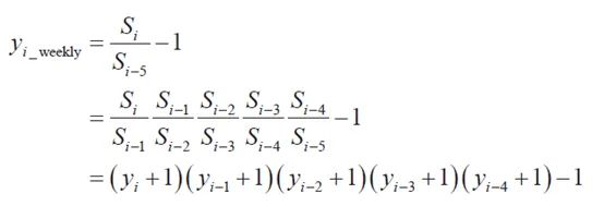
周簡單回報率和日簡單回報率關係為:式(3)

如圖6所示為基於圖1股價資料計算得到的周簡單回報率。

本文尚有程式可以用來獲得圖2∼圖6。請詳見《手術刀般精準的FRM - 用Python科學管控財金風險(基礎篇) 》。
本叢書以FRM 為中心介紹實際工作所需的金融風險建模和管理知識,並且將Python 程式設計有機地結合到內容中。就形式而言,本書一大特點是透過豐富多彩的圖表和生動貼切的實例,深入淺出地將煩瑣的金融概念和複雜的計算結果進行了視覺化,能有效地幫助讀者領會重點並提高程式設計水準。更多Python在財經風險的應用,請詳見《手術刀般精準的FRM - 用Python科學管控財金風險(基礎篇) 》






















