下面這題,你需要花多少時間來解題

求正方形的邊長
解題概念/看到正方形,你就要知道----正方形切出來的三角形,都是全等三角形。

三角形A=三角形B=三角形C=三角形D

三角形E=三角形F=三角形G=三角形H

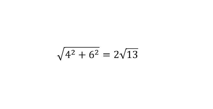
解題技巧/只要看到直角三角形,你就要知道----畢氏定理(AB2+BC2=CA2)

所以。答案就是2√13,你算出來了嗎?

下面這題,你需要花多少時間來解題

求正方形的邊長
解題概念/看到正方形,你就要知道----正方形切出來的三角形,都是全等三角形。

三角形A=三角形B=三角形C=三角形D

三角形E=三角形F=三角形G=三角形H

解題技巧/只要看到直角三角形,你就要知道----畢氏定理(AB2+BC2=CA2)

所以。答案就是2√13,你算出來了嗎?


















