題目
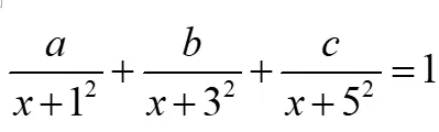
已知a,b,c均為實數,滿足下列方程式組:

試求a+b+c=?
雖然說這題後來很快就被厲害的玄元皇鳥大大破解了,不過底下還是分享一下我的思考與學習解題的過程 同時奉上鳥大解題連結請點此 (與此題數字略有不同,不過答案是一樣的)
解法一
本來想說這題雖然係數都是分數,但至少分母都是整數感覺也滿好算的乍看之下好像直接用三元一次爆破就可以了,於是乎我稍加計算了一下,把方程式變成:
(1/5)a+(1/13)b+(1/29)c=1
(1/17)a+(1/25)b+(1/41)c=1
(1/37)a+(1/45)b+(1/61)c=1
看到這麼可怕的數字,我這才發現我好像走到一條不歸路了,但畢竟這仍舊只是個三元一次方程式而已!趕緊把這個方程式帶進線上的方程式計算器......結果算出
a=3145/192,b=-14625/128,c=72529/384
我的天啊這什麼數字啊!!太醜了吧!!難道答案也這麼可怕嗎?!!
就在我這麼想的時候,我再次用線上的計算器將這三個可怕的數字加起來,得到91
一個超級漂亮的正整數解,徹底震碎我的三觀,原來這樣真的算得出來...(前提是要有計算機等級的計算能力,或是直接使用計算機,是說這題就算真的用計算機也不好按...)
後來,幸好看到鳥大的解說影片,我才恍然大悟,居然還有這麼酷的解法。
~定理~
後面要運用到一個叫做「韋達定理」的觀念,大家比較熟悉的名稱應該是「根與係數」
國高中經常用來速算係數或反推方程式
應用在n次式的話就是 假設一個一元n次的方程式為:
anxn+an-1xn-1+...+a1x+a0 解為x1,x2,x3,...xn
則x1+x2+x3+...+xn=-(an-1)/an (後面還有很多延伸...暫且不表)
解法二
如果將題目中三元方程式組,以「列」(橫向)來觀察的話,會發現這三列的分母當中
12、32、52是固定的,而22會在第一列重複出現三次,第二列則是42、第三列則是62。方程式當中,三個數字陸續出現在相同的地方上,這和方程式組的「解」有類似之處,我們可以試著把22、42、62當作一個x三次式的三個解,這樣多項式就會變成:

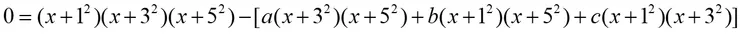
而22、42、62為一個該三次式的三解,這樣乍看之下好像又更複雜,事實上a+b+c已經呼之欲出了,我們只需要將這整個式子的分母乘開...

然後,因為等號右邊會乘出x3,所以我們把等號左邊的所有東西一起移動到右邊變成...

接下來可以不用再爆開來了,只要分別觀察幾個係數就好
- 三次項係數a3明顯為1
- 二次項係數為a2=12+32+52-(a+b+c)
- 三解之和為22+42+62
- 根據韋達定理,三次方程式,三根和為-a2/a3
我們就可以得到極為漂亮的結果:
22+42+62=-(12+32+52-(a+b+c))
最後再把負的12+32+52都移到等號左邊就會變成:
a+b+c=12+32+52+22+42+62
一個漂亮的6項連續平方和
不管是直接爆開還是利用sigma公式都可以算出91這個答案。





















