本文主要論及了特斯拉的駕駛輔助系統(Driver-Assistance System,DAS)——尤以自動駕駛(Autopilot,AP)系統的全自動駕駛(Full Self-Driving,FSD)功能為核心——及其車輛品質與電池續航力。簡言之,特斯拉的DAS並不安全,其事故率遠高於所有使用DAS的車輛之事故總和;該斯品管亟待改善,從而造成致命的事故頻發;該斯在電池續航力、充電速度的宣傳上,皆屬虛假與誇大宣傳。本文旨在指出——特斯拉的產品並不像宣傳中的那麼好(但不代表本文認為該斯的產品不佳)。筆者由衷希望,消費者當審慎對待馬斯克的所有產品,包含但不限於特斯拉。
一、駕駛輔助系統
不少人——尤其是斯粉(馬斯克、特斯拉的粉絲)——「相信」,特斯拉的DAS(尤其是FSD)遠較其他車廠的系統來得更加先進與安全。這不僅是該斯所刻意營造的神話,更是以消費者的生命安全為代價所推出的系統。
該斯宣稱,特斯拉的電動車是「全世界最安全的車輛」(the safest cars in the world),「傷人的可能性也是在所有為美國政府檢驗的車輛中最低者」(among the lowest overall probability of injury of any vehicles ever tested by the U.S. government)。
2023年6月10日,《華盛頓郵報》發表了一篇名為〈17死、736起車禍:特斯拉自動駕駛導致的駭人傷亡〉(17 fatalities, 736 crashes: The shocking toll of Tesla’s Autopilot)的報導,深入分析了美國國家公路交通安全管理局(National Highway Traffic Safety Administration,NHTSA)的數據(自2021年第一季至2023年第一季),得出與該斯大相徑庭的結論。在所有使用DAS的車輛中,但凡涉及DAS的車禍,特斯拉車輛的車禍次數最高,而且是遠高於其他使用DAS車輛的事故「總和」(詳圖一)。有鑒於特斯拉在全美的市占率不到1%,其事故數量無疑高得嚇人。

特斯拉的事故數量遠遠超過所有使用DAS車輛的事故總和
2023年12月12日,為了遵守NHTSA的監管規定,特斯拉便以OTA(Over-The-Air)的方式召回全美203萬多輛電動車。而是次召回已是近兩年來的第四次。起因是,NHTSA歷時兩年的調查發現,無論使用者的使用方式適當與否,特斯拉的AP系統危及了使用者的行車安全,也「增加車禍的風險」(increased risk of a crash)。
特斯拉的AP系統之所以會置人於險境,乃因系統對駕駛人的監測不足。AP僅要求駕駛人將雙手置於方向盤上,而未時刻確認駕駛人是否持續關注路況。因此,只要駕駛人在方向盤上增加額外的重量,便能輕鬆騙過AP。當然,這是由於駕駛人在過度相信(或依賴)FSD的不當操作下所導致的事故,但也說明了FSD根本不是「全自動」的駕駛系統。否則,無論駕駛人是否握著方向盤或持續關注路況,號稱「全自動」的FSD都理該避免憾事發生。該斯對FSD的宣傳顯然名不符實。
除了前述原因外,AP系統尚有廣為人知的「魅影煞車」(phantom braking)問題。意即在前方道路無虞的情況下,AP系統會突然自行煞車,彷彿是偵測到鬼魅而急停。而這也是NHTSA調查的重點之一。此類事故層出不窮(關鍵詞:Tesla phantom braking),本文僅試舉一例。根據美國媒體《攔截》(The Intercept)於2023年1月10日的詳細報導,2022年感恩節當晚的舊金山海灣大橋(San Francisco Bay Bridge)上,一輛白色的Model S(94990美元起售)在變換至最左側的內線車道後突然煞車,導致後方7臺車輛追撞。該事故造成9人受傷,其中包含一名年僅2歲的孩童。
就福特與通用汽車(General Motors,GM)的DAS——BlueCruise(BC)與Super Cruise(SC)——而言,兩者對駕駛人的監測相對嚴格。當其監測到駕駛人於數秒內未持續關注路況時,BC會以警告標誌與警示音效來提醒駕駛人,而SC則會在駕駛人忽略警告的狀態下停用DAS。相較之下,由於FSD的限制較少,遂易讓使用者(尤其是斯粉)認為FSD的「功能」更為強大。但相對沒有「限制」的FSD卻含藏了危及駕駛人與他人的安全隱患。因此,由美國非營利組織所創辦的消費品測評雜誌《消費者報告》(Consumer Reports),將福特的BC評選為2023年度最佳DAS,GM的SC位居第2,而特斯拉的AP則排在第8(詳圖二)。
簡言之,若只關注DAS的性能而忽略其安全性,顯然失之太過。綜上所述,特斯拉不但不是「全世界最安全的車輛」,反而可能是全球最危險的DAS車輛。

《消費者報告》2023 DAS 評比排名
二、車輛品質
即便是斯粉,可能也聽說過——車輪自行駛中的特斯拉飛出去、新車懸吊塌陷、方向盤失靈、加速時車軸(axles)破裂等事故。我真心希望,這些駭人聽聞的事故都只是都市傳說。但遺憾的是,它們千真萬確地發生了,也導致了不可挽回的傷亡。
1. 掩蓋問題並否認事實
無論是汽車還是電動車,皆為複雜的科技產品,難免會有零組件故障等問題。但特斯拉對車輛故障的處理方式,顯得有些獨特。
2016年4月28日,美國論壇特斯拉電動車俱樂部(Tesla Motors Club)出現了一篇名為〈Model S的懸吊問題〉(Suspension Problem on Model S)的帖子。樓主擁有一輛於2013年5月購買的Model S,以約8公里(5英里)的時速行經下坡路段,孰料該車的「左輪轂零組件與上方的控制臂分離」(left front hub assembly separated from the upper control arm)而當場失控(所幸無人傷亡)。鑑於該車的里程數近117500公里(73000英里),特斯拉認為零組件的分離是「正常損耗所致」(the cause was due to normal wear and tear)。心有餘悸的樓主遂在論壇上詢問其他車友,是否也曾經歷類似的情況。
2016年5月5日,樓主在該帖的152樓披露了特斯拉的處置方式——要求樓主簽署一份商譽協議(Goodwill Agreement)以換取該斯負擔一半的維修費用。協議的部分內容寫道:「您也同意,您不會對特斯拉或相關人員、實體(entities)發起、參與或自願協助任何基於與本協議相關的索賠(claims)或事件等情事(facts)所提出的司法或衡平法(equity)上的行動或法律訴訟(字幕君已陣亡,詳圖三)。」因此,這個帖子引起了專業車評尼德邁爾(Edward Niedermeyer)的注意。

“You further agree that you will not commence, participate or voluntarily aid in any action at law or in equity or any legal proceeding against Tesla or related persons or entities based upon facts related to the claims or incidents leading to or related to this Goodwill.”
2016年6月8日,尼德邁爾發布了一篇名為〈特斯拉懸吊損毀:這不是犯罪,是遮羞〉(Tesla Suspension Breakage: It’s Not The Crime, It’s The Coverup)的報導,講述了樓主的遭遇,同時也描述了他求證於NHTSA的過程,及其向當局表達了他對特斯拉要求車主簽署保密協議(Non-Disclosure Agreement,NDA)的擔憂。
翌日(6月9日),該斯旋即於官網上寫道:「無論是Model S或Model X,其懸吊皆無安全上的缺陷(there is no safety defect with the suspensions in either the Model S or Model X)。」並於文末指控尼德邁爾「捏造了」(fabricated)此一事件,還揶揄他可能想借機作空該斯股票(原文是「have something financial to gain by negatively affecting Tesla’s stock price」)。6月10日,馬斯克更於推特上將NHTSA所接獲的絕大部分懸吊投訴(40件裡的37件)斥為「詐騙」(fraudulent)。
爾後,該事件為各大媒體廣泛報導(關鍵詞:Tesla NDA repairs)。就在該斯發表聲明的同一日,NHTSA也已針對保密協議一事照會特斯拉——「凡攸關消費者之安全問題,而以任何語言文字暗示其不該聯繫本局者,皆難以接受(any language implying that consumers should not contact the agency regarding safety concerns is unacceptable)。」因此,該斯於馬斯克推文當日(6月10日),即修改了商譽協議中的保密條款(a nondisclosure clause)。
雖然該斯否認了懸吊有缺陷的指控,但商譽協議中的保密條款確實損害了車主向NHTSA報告事故的權利。據此,我們也能看出,該斯為樹立「良好」的品牌形象所作之獨特「努力」。
2. 真相是時間的女兒
2023年12月20日,《路透社》發布了一篇名為〈特斯拉將早已知悉其缺陷的零部件故障歸咎於駕駛人〉(Tesla blamed drivers for failures of parts it long knew were defective)的調查報告,證明了該斯不僅品管亟待改進,更戳破了其長年經營的品牌「神話」。
根據《路透社》於調查報告中所揭露的內部資料,該斯工程師Riccardo Dong於2016年的備忘錄中,描述了中國的Model S車主所回報的一系列「駭人的」(terrifying)懸吊塌陷(suspension collapse)事故,並直指「無確證表明零部件的斷裂係肇於直接的撞擊(No convincing evidence to prove a direct impact is the cause of fracture)」(詳圖四)。

《路透社》揭露的內部資料顯示,特斯拉至少於2016年即已知悉懸吊事故係肇於其自身缺陷
而我們從NHTSA於2023年3月31日所發布的安全召回報告(Safety Recall Report)亦可得知,類似的懸吊缺陷(導致方向盤失靈、車輪飛出、車軸斷裂)也出現在2018、2019版的Model 3,其缺陷率為1%。另外,2019年4月,該斯的產品維修工程師Ralf van Gestel發現,於過去的12個月裡,該斯已在Model S與Model X懸吊部件的「保固」維修上,花費了近400萬美元(詳圖五)。

光是針對懸吊問題的「保固」維修就已花費了400萬美元
顯然,此類事故乃懸吊本身的設計、技術與品質問題,並非駕駛人的使用問題。可見,該斯至少於2016年時,便已知悉懸吊事故非車主使用不當所致。但該斯卻以指控投訴者「詐騙」的方式,來迴避自身的重大安全問題與社會責任,並挾其龐大的資源優勢來詆毀車評尼德邁爾。直到2020年,在一封回覆NHTSA的信件中,該斯依舊堅稱懸吊事故係「駕駛人濫用」(driver abuse)所致(詳圖六)。

2020年特斯拉致信NHTSA
按NHTSA的官網顯示,2023年裡對該斯懸吊與方向盤問題的投訴已有260件。而在同一年中,對GM的投訴有750件,而對Toyota的投訴則僅有230件。別忘了,GM在美國的市占率為21%,Toyota的全美市占率則是15%,特斯拉則僅有不到1%的市占率。顯然,特斯拉的事故問題已遠遠超乎了人們的想像,也遠遠達不到該斯所謂「全世界最安全的車輛」的想望。
三、電池的續航力
對電動車來說,電池的續航力勢必為兵家必爭之地,特斯拉當然也不例外。
在美國國家科學基金會(National Science Foundation)的贊助下,2024年1月2日美國電動車分析公司Recurrent的研究圖表顯示(共比較了12款電動車,特斯拉占了4款,福特占了2款),在理想的氣溫下,表現最佳的電動車是現代的Kona(2020、2021款),續航里程約524公里;福特皮卡F-150 Lightning(2022/2023 Extended Range)排名第2,續航里程約452公里;福特的Mach E(2021 Premium AWD Extended)排名第3,續航里程約411公里;而特斯拉的Model Y(Long Range AWD)則只排在第6,續航里程約337公里(詳圖七)。
在攝氏零度以下的氣溫中,現代的Kona依舊表現最佳(約337公里);福特皮卡F-150 Lightning還是第2(約328公里);福特的Mach E則退居第4(約273公里),為2021、2022款的奧迪e-tron(約276公里)所超越;Model Y則上升至第5名,續航里程約251公里(詳圖七)。顯然,特斯拉的電池續航力並不如官方所宣稱的那麼優異。這其實並不奇怪。畢竟,現實世界的真實路況,本就比實驗室裡的估計要來的嚴苛許多。但特斯拉的問題在於——欺騙大眾。

Recurrent 電動車電池續航力研究
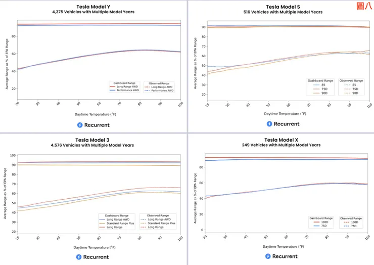
2023年7月27日,《路透社》的另一項調查報告〈特斯拉成立秘密團隊來消弭上千件續航里程的客訴〉(Tesla created secret team to suppress thousands of driving range complaints)指出,該斯於拉斯維加斯成立了一個聲東擊西團隊(Diversion Team),盡可能地取消攸關續航力問題的服務預約,不讓消費者抱怨或上報續航里程與宣傳不符的事實。甚至,早在十年前,該斯便已在車內的續航里程預估系統上動了手腳,只為讓駕駛人看到滿電的續航里程時覺得「美好」(rosy)。
以Model Y為例,美國環境保護局(Environmental Protection Agency,EPA)所預估的續航里程為310英里(約499公里);而Recurrent發現,滿電時Model Y的續航里程錶會顯示高於279英里(約449公里)的「美好」數值。也就是說,在特斯拉的4款電動車上,續航里程錶所顯示的數值幾乎總保有EPA預估值的90%以上。不僅如此,真正超現實的地方在於——特斯拉續航里程錶上的數值並不會隨著外部氣溫而變動(詳圖八)。
惟Recurrent的研究表明,即便是在最佳狀態下,特斯拉4款電動車的「實際」續航里程頂多只有EPA預估值的65%左右——Model Y(Long Range AWD)則只有六成多一點的續航力(詳圖八)。相較之下,現代的Kona、福特的Mach E以及雪弗蘭的Bolt之續航里程錶所呈現的數值,反而更貼近實際的續航力。尤其是現代的Kona,甚至還大幅「低估」了自己的續航里程(詳圖九)。

特斯拉4款電動車的「實際」續航力
早在2023年1月3日,韓國公平交易委員會(Korea Fair Trade Commission,KFTC)就已針對該斯續航里程、充電速度的「虛假、誇大呈現與宣傳」(false and exaggerated representation and advertisement)開出28億5200萬韓元(約220萬美元)的鉅額罰款。其中,最為斯粉所津津樂道的充電速度(尤其是快速充電),也為KFTC裁決為虛假與誇大宣傳。從這裡也能看出,或許現代的Kona是刻意低估其續航里程,以免違反韓國監管當局的法律規定。

Kona、Mach E、Bolt的實際續航力
四、結論
本文旨在指出,特斯拉的產品並沒有像該斯(尤其是馬斯克)所宣傳的那麼好。但也不代表本文認為該斯的產品不佳。筆者由衷希望,消費者當審慎對待馬斯克的所有產品,包含但不限於特斯拉。
企業傾向於老王賣瓜的行銷方式,其實無可厚非。但該斯的前述行為,已然是欺瞞大眾、以駕駛人與他人安全為代價的不實宣傳。同時,慮及該斯拿了數十億美元的政府補助,這些行為無疑是花著(並賺著)美國納稅人的錢,卻又讓美國納稅人自行承擔財務(維修)與傷亡的風險。該斯在美國本土業已如此,更遑論於境外的其他國家了。
另外,根據全美首個非營利的新聞組織調查報告中心(The Center for Investigative Reporting,CIR)的《揭露》(Reveal)報導,該斯工廠缺乏黃色的警告標誌與警示語,只因「伊隆不喜歡黃色」(Elon does not like the color yellow)。即便如此,該斯仍宣稱員工的工作環境安全無虞。但無論是根據《揭露》的調查報告,或美國非營利組織勞工安全(Worksafe)的研究,該斯的工傷率皆高於業界的平均值。可怕的是,SpaceX有著更為嚴峻的工安問題。
2017年2月上旬,一名來自加州費利蒙的特斯拉工廠的員工Jose Moran(時年43),公開批評了該斯——過長的工時(每日工作12小時)、強制加班(每週工作6天)以及本可預防的工傷(preventable injuries)。孰料,馬斯克卻公開地將該名員工抹黑為:「受僱於美國汽車工人聯合會(United Auto Workers,UAW)而進入特斯拉以聲援UAW。他根本不是真的為我們工作,而是為UAW(paid by the UAW to join Tesla and agitate for a union. He doesn’t really work for us, he works for the UAW)。」
2022年5月10日,馬斯克在一場訪談中表明,「在美國,人們根本就不想上班」(in America, people are trying to avoid going to work at all),並讚賞中國的工人願意「熬到凌晨三點」(burning the 3 am oil)。看看那些富士康的工人吧,中國工人是真的心甘情願地加班至凌晨的嗎?試問,若一間大企業的老闆果在乎人們(員工;消費者及其所可能觸及的他人)的健康與安全,何以連自家員工的權益都未獲得良好的保障呢?





















