咱佇細漢的時陣,自然課老師定著攏會做一个實驗予咱看。代先愛攢一个透明的塑膠箱仔,內底貯水,閣予內底充滿線香的煙。紲接挈一支雷射炤入去,咱就看會著光線撞著水面分做兩條路線,一條反射轉來空氣,一條繼續向水底,毋過方向會略仔斡一个角度。
一直到高中,數學學著三角函數,物理老師才介紹折射率佮Snell定律。折射率表示真空中的光速佮材質內面的光速比例,折射率愈懸,光佇材質內面咧行的速度看起來就愈慢。咱猶知影對波動來講,光速平平頻率乘波長,相仝的波行過無仝的介質,頻率猶原無變,所以根據簡單的數學算出無仝介質內面的波長。


用波動的觀點解說折射現象。
既然咱知影波佇無仝介質內底的波長,閣波形經過介面袂當斷節,所以看起來就親像圖--lin畫的按呢。咱會當利用三角函數佮幾何關係,閣利用拄才提起的波長、波速、頻率的關係式,整理一下共Snell定律推導出來。

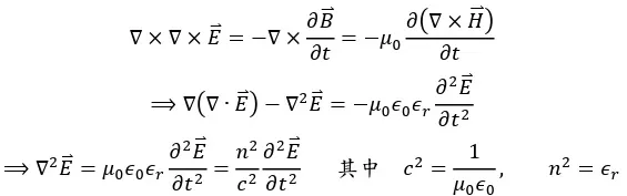
雖罔咱知影Snell定律了後,會當預測光折射的方向,毋過咱猶無法度預測有偌濟光反射,偌濟光折射。欲愛知影閣較完整,咱愛來分析光佇無仝介質的交界發生啥物代誌。Maxwell整理往過的實驗,用一組方程共電學佮磁學統合起來寫做下底按呢:

佇咱欲探討的情形內底,無自由電荷,嘛無電流密度,磁導率佇逐所在逐時刻攏相仝是。佇介質1佮2唯一無仝的是介電係數。根據Maxwell方程組,咱會當推導出電磁場的波動方程。

對這條波動方程式來講,上蓋簡單的解就是平面波,閣電磁波是橫波(transverse wave),所以電場佇3D空間會當寫做下底按呢:

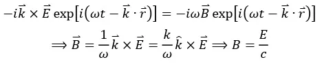
佇四界攏齊勻的介質內底,根據Faraday定律(頂懸Maxwell方程組的第三條),咱共波動的形式橐入去會得著

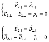
這時咱來分析電磁場佇介面上的情形。

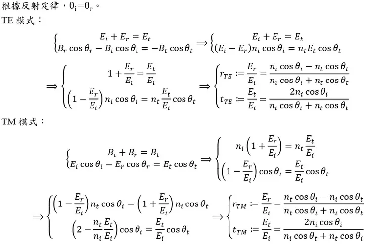
入射線、反射線佮折射線倒佇仝一个平面(定義做入射面)。因為電磁波是橫波,所以會當分做兩種偏振模式(TE佮TM),TE模式是電場向量佮入射面交屈角,TM是磁場向量佮入射面交屈角,紲接會用著的符號定義跟綴下底兩張圖。


其實咱咧測量光是強抑是弱,是看伊的功率,就是每秒鐘接受著偌濟能量。電磁波的能量是佮電場大細的平方正比例,

所以咱指定介面兩爿的介質折射率,用任何偏振方向的光以指定的角度入射,咱就會當算出有偌濟光會反射,有偌濟光會折射。

光對空氣向玻璃入射,無仝入射角對應的TE/TM模式的反射率。
根據這張圖,咱會當看著TM模式的入射角50至60度之間,反射率差不多欲倚0,也就是佇這的角度範圍看著的反射光就干焦賰TE模式。既然反射的光大部份是TE偏振模式,按呢咱用特殊的材料共這个方向偏振的光閘起來,按呢咱就袂看著反光矣,所擺這个現象嘛予人用佇烏仁目鏡,抑是專業攝影的鏡頭。




















