給讀者的溫馨提醒
如果你在閱讀過程中感到略微吃力,請別灰心,因為今天我確實用數學用得比前幾日還兇,我自己在研究的過程中也是費心費力。
如果你只是想知道大意,可以先跳過詳細證明,把握下列要點:
如同做昨天所說:
- 「邊際貢獻遞增」和「超模(supermodular)」這兩種凸性賽局定義,其實是一體兩面,證明的細節雖然繁瑣,但最後結論是它們是等價的。
- 一旦賽局具備這樣的「凸性」,就能保證核心(Core)不為空。大聯盟的總收益夠大,可以維持合作穩定。
若你對細節特別有興趣,歡迎往下翻看完整數學證明。
若你想省略繁複的證明步驟,不妨把這篇當作「參考資料」,等日後真要和別人辯論「超模與邊際貢獻遞增到底是不是同一回事」時再翻出來。
接下來的文章我也會盡量往實務應用的方式去做,千萬別被今天嚇到了(雖然我覺得過去幾篇也有些地方數學用很兇)。
凸性賽局:回顧
我們在昨天的文章中採用了以下的「邊際貢獻遞增」定義
對任何玩家 i 與任何兩個聯盟 T ⊂ S ⊂ N(其中 i 不屬於 S),都有

換言之,玩家 i 加入規模較大的聯盟 S 所帶來的邊際貢獻,不會比加入規模較小的聯盟 T 來得低。
我們運用了這個性質證明了,凸性賽局必定會有滿足穩定性又滿足效率性的效益分配向量,也就是核心 Core 。
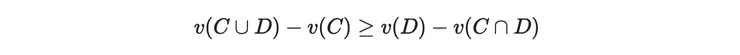
但我們同時也提及了,凸性賽局也可以用超模(super modular)的方式來定義:若對於任意的聯盟 C 與 D

則稱此賽局是「凸性賽局」。
今天我們就只做一件事,就是要搞清楚這個等價關係!
證明
我們要證明兩個定義等價,那也就是說要證明一個「雙箭頭」:
- 假設滿足超模,則邊際效益遞增
- 假設邊際貢獻遞增,則滿足超模
超模 => 邊際效益遞增
假設我們有:對於任意的聯盟 C 與 D

要證明:對任何玩家 i 與任何兩個聯盟 T ⊂ S ⊂ N(其中 i 不屬於 S),都有

我們首先可以對目標進行一些移項得到

證明此式成立的話,就可以移項回去並證明完畢。
注意看這個式子其實跟超模的不等式很像,我們嘗試性的令

這樣右側就會變成

跟超模的條件完全一樣

同時注意到,因為 T ⊂ S ,我們有

以及

但是因為 i 不在 S 裡面,以及 T ⊂ S ,於是

於是 (*) 就可以寫成

而這個式子因為有超模的條件所以本來就成立,於是證明完畢。
邊際效益遞增 => 超模
(這個部分就比較複雜)
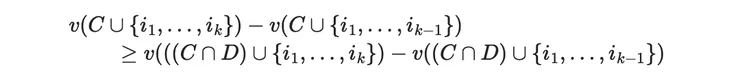
假設我們有:對任何玩家 i 與任何兩個聯盟 T ⊂ S ⊂ N(其中 i 不屬於 S),都有

要證明:對於任意的聯盟 C 與 D

首先,令集合

我們要對這個集合的大小進行數學歸納法。
當 | Dif | = 1 時,可說是 D 有一個點 { i } 是跟 C 不重複的,我們就可以用邊際效益遞增來證明超模
首先注意到

且 i 不在 C 裡面。則根據邊際效益遞增

注意到

因此從 (**) 式可以得到

移項就可以得到超模的條件

好,我們證明完 | Dif | = 1 的狀況。因為我們要用數學歸納法來論證,所以我們假設這個定理到 | Dif | = k - 1 都是對的,然後要證明當 | Dif | = k 時,此定理成立,這樣就可以完成證明了。

假設

但是我們也考慮

以及

則因為

所以根據歸納法假設,我們知道

現在注意到

因此根據邊際效益遞增,我們知道

整理一下可以得到

注意到

因此上面這個不等式可以改寫為

但是根據我們的歸納法假設,我們還知道(上面有寫)

兩個不等式相加後馬上就可以得到

最後再注意到

因為多出來的那個 i_k 根本也不在 C 裡。
於是最後就得到了

證明完畢。
Takeaway
「邊際貢獻遞增」和「超模(supermodular)」這兩種凸性賽局定義為等價定義,本文進行詳細的數學論證
Reference
Chalkiadakis, Georgios, Edith Elkind, and Michael Wooldridge. _Computational aspects of cooperative game theory_. Morgan & Claypool Publishers, 2011.






















