在合作賽局理論裡,將「特徵函數」視作「向量」,並把所有賽局形成的集合看作一個「向量空間」,能夠為我們提供許多強而有力的數學工具。例如,我們可以用基底來唯一地表達任意賽局,進一步在此空間進行公設、解概念的分析。今天就讓我們從這個觀點出發,導入一組重要的「齊一性賽局 (unanimity games)」並證明它們能形成整個向量空間的基底。
特徵函數是個向量
首先我們回顧「特徵函數賽局(Characteristic Function Games)」,每個這樣的賽局 (N, v) 都會有個特徵函數

於是我們就可以固定玩家集合 N ,然後考慮所有可能的特徵函數 v ,並搭配以下的定義
對於兩個特徵函數 v 與 w,定義其加法

對於特徵函數 v 與實數 c ,定義其係數乘法(係數積)

則我們檢驗並結論出這些特徵函數 v 形成一個線性空間,並且維度為
2 的 |N| 次方。
如果你固定

則維度為 2 的 |N| 次方減一。
我們會在以下的篇幅中描述一組特別的基底(Unanimity games),然後證明這些維數。
齊一性賽局(Unanimity games)
給定任意非空子集 T ⊆ N,定義 unanimity game 如下:

也就是只有當集合 S 包含整個集合 T 時,其效用才為 1,否則為 0。
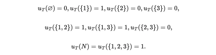
例如若 N = {1, 2, 3} , T = {1} 時,

我們宣稱以下集合為線性獨立,且可以生成此空間中的所有特徵函數

線性獨立性
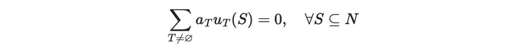
假設有一組實數 a_T 滿足

我們透過數學歸納法證明所有 a_T = 0 。
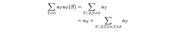
首先證明當 |S| = 1 ,也就是 S = { i } 時,a_S = 0 。這很顯然,因為

而但是又

因此

現在假設當 |S| 小於等於 k - 1 時,a_S = 0 ,則考慮當 |S| = k 時

但是當

時,我們必定有 |T| 小於等於 k - 1 ,也就知道 a_T = 0 ,所以

於是因為

所以

得出 a_S = 0
根據數學歸納法,結論成立。
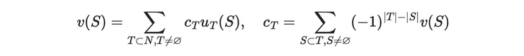
線性生成性
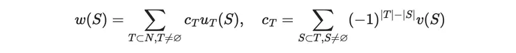
我們要證明對於任何一個賽局的特徵函數 v ,我們都可以透過

的線性組合來組合出 v
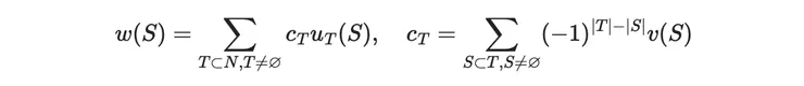
為了證明此定理,我們首先給定一個賽局的特徵函數 v ,以及另一個特徵函數 w ,但是 w 是定義做

也就是說,這個 w 其實是從 v(S) 的資訊定出來的。
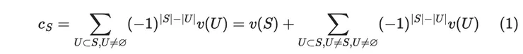
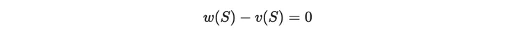
現在我們宣稱並證明:對於所有聯盟 S 我們有 v(S) = w(S)
首先,根據構造

再根據構造,我們知道

以及

對於第二式,我們可以詳細解釋這個求和符號

這個符號其實是,先選擇符合條件的 T ,再選擇符合條件的 U,計算求和的被加數,最後全部加起來。如果我們交換選擇的順序,就可以得到

現在把 (1) 與 (2) 代入回去 (0),你就可以得到

於是我們知道

而目標就是把這坨好雜亂的式子算到等於 0 。
首先注意到,兩項的第一個求和符號範圍一樣,所以可以合併成

而大括號中的第一項正好等於第二個求和符號中,把 T 用 S 帶入,因此又可以合併成

進一步提出 v(U) 可得到

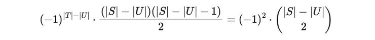
現在我們集中火力處理大括號裡面的數字

我們看遍每一個可能的 T :
假設 T = U 的話,這個分量會是

假設 T 比 U 多一個元素,這個分量會是

原因是因為那一個多的元素有 |S| - |U| 個選擇
假設 T 比 U 多兩個元素,這個分量會是

其中最後面這個符號是指二項式係數。
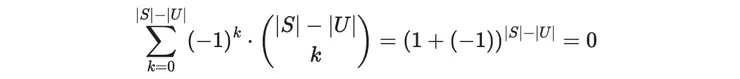
因此,我們這個大括號裡面的數字就等於

根據二項式定理,我們知道

於是我們的 (3) 就會等於

所以我們結論出

因此我們證明完畢。
證明了什麼?證明了給定了 v(S) 特徵函數後,透過這個特徵函數所構造出的

會等於 v(S) ,因此我們可以寫出

所以我們結論出, v(S) 可以寫成

的線性組合
Takeaway
今天的內容給出了合作賽局的「向量空間」視角,並用齊一性賽局(Unanimity games)作為基底示範了怎麼將任意特徵函數「拆解」回去。
Reference
Branzei, Rodica, Dinko Dimitrov, and Stef Tijs. _Models in cooperative game theory_. Vol. 556. Springer Science & Business Media, 2008.

















