我們要證明的事情是:
假設

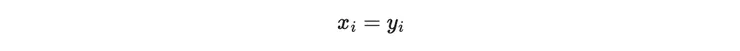
目標是要證明 x = y 。
大致的思路如下:
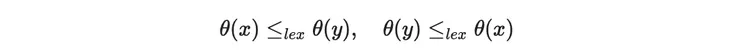
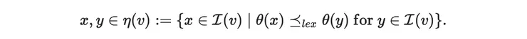
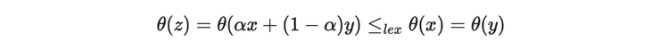
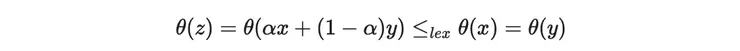
如果根據剛剛的假設,則我們知道 x 與 y 的不滿值向量 θ(x), θ(y) 都會是在字典序下最小的,於是我們就有

然後因為當 a ≥ b 且 b ≥ a 時我們有 a = b ,所以我們就想要寫下

這個叫做字典序的不對稱性(antisymmetric order),我們會在下面對這件事情做證明。
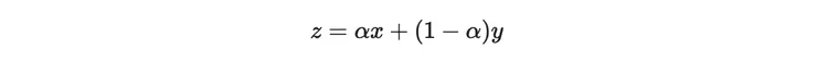
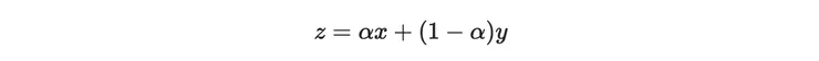
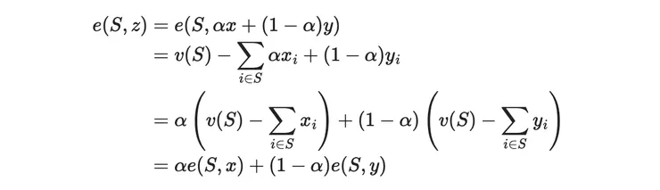
接著,我們會考慮一個凸組合

也就是一個新的效益分配向量 z ,當 α = 1 與 α = 0 時就分別等於 x 與 y 。
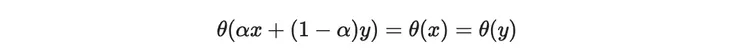
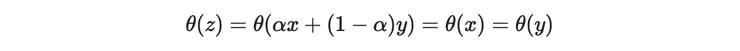
證明出

再透過凸組合的兩端點證明出 x = y 。
字典序的不對稱性
假設

則我們要證明 x = y。
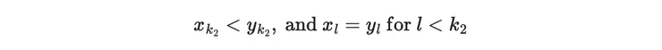
假設 x ≠ y 。因為

所以存在一個下標 k1 使得

同時因為

所以存在一個下標 k2 使得

你會發現 k1 ≠ k2 ,而且 k1 < k2 與 k2 < k1 都會導致矛盾,因此透過反證法我們知道, x = y。
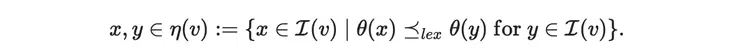
放到我們真正要證明的脈絡裡,假設

則我們知道 x 與 y 的不滿值向量 θ(x), θ(y) 都會是在字典序下最小的,於是我們就有

根據字典序的不對稱性,我們結論出:

凸組合分析
現在考慮一個 x 與 y 的凸組合

以及對應的不滿值向量

我們來證明兩個方向的不等式:

以及

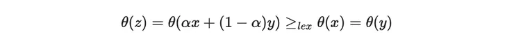
由此就可以結論出

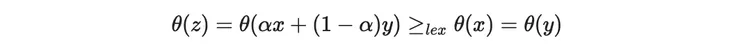
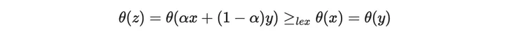
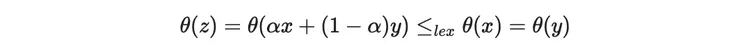
大於等於方向:直接根據構造的論證
要證明

很簡單,只要證明出 z 是屬於 Imputation set I(v),那麼因為 θ(x), θ(y) 都會是在字典序下最小的,於是不等式就會成立。
要證明 z 屬於 I(v),我們就要證明效率性與個體理性:
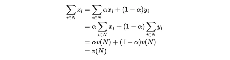
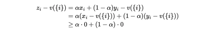
效率性:

因為 x 與 y 都在 I(v) ,都滿足效率性。
個體理性:對於每個玩家 i

因為 x 與 y 都在 I(v) ,都滿足個體理性。
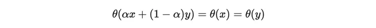
至此,我們可以結論出 z 屬於 I(v) ,於是因為 θ(x), θ(y) 都會是在字典序下最小的,所以

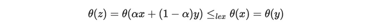
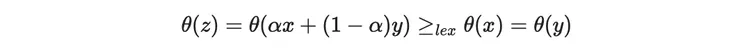
小於等於方向:帶有組合學色彩的論證
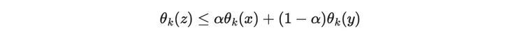
現在要證明

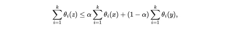
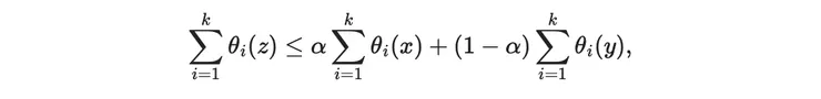
但我們證明一個更強的不等式:對於所有 x, y 與 α 我們有

再根據 θ(x) = θ(y) 就可以完成原不等式的證明了。
令 L 與 R 分別代表欲證明不等式的左手邊跟右手邊

這個證明的關鍵是,當你把 L 與 R 依序寫出來

我們可以允許「一開始就看到小於」:

我們也可以允許「經過一些等號後看到小於」:

但我們不可以允許「一開始就看到大於」:

我們也不可以允許「經過一些等號後看到大於」:

所以我們的證明需要做到「當後面兩個我們不允許的狀況出現時,會導致矛盾」。
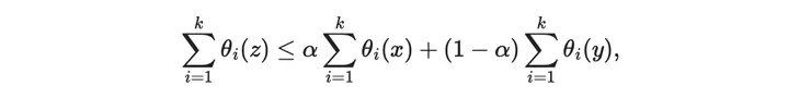
為了做這件事,我們要來證明這個不等式:

其中 θ_i(x) 代表 θ(x) 的第 i 個元素。
好,因為 z 是 x 與 y 的凸組合,所以

我們寫出 θ(z) 的不滿值向量:

注意到不滿值向量 θ(z) 是由大排到小的,所以這裡的 S1, S2, ... 是根據 z 量身定做的。
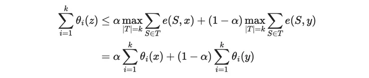
現在把注意力放到前 k 個元素的和

我們令

則

因為這是前 k 的元素,不滿值向量是由大排到小的,所以我們還可以寫出

接著我們把 z 展開

這是因為原本選好一個 T ,就要放到後面計算

但是最後一行是,你可以為

各選擇一個能達到最大值的 T 。
根據不滿值向量的定義,θ(x) 與 θ(y) 也會是由大排到小,因此你也可以寫出

以及

於是

於是我們就證明出

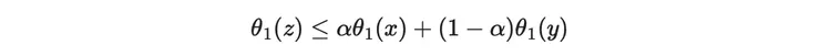
回到我們要證明的事情:我們不可以允許「一開始就看到大於」:

我們也不可以允許「經過一些等號後看到大於」:

所以我們的證明需要做到「當後面兩個我們不允許的狀況出現時,會導致矛盾」。
好,若 k = 1 ,不等式

會變成

就會跟

矛盾。
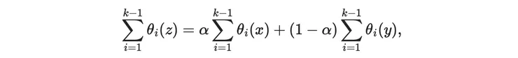
接著假設「經過一些等號後看到大於」:

則前面 k-1 個元素相等告訴我們

因為

相減得出

就跟

矛盾。
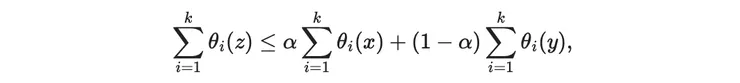
於是不等式

證明完畢,再因為 θ(x) = θ(y) 得到

繼續完成唯一性證明
現在我們有

以及

根據我們第一節做的不對稱性,我們結論出

沿用

其中 S1, S2, ... 是根據 z 量身定做的,因為不滿值向量的定義是由大排到小。
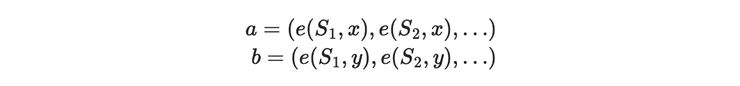
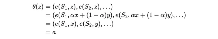
構造兩個向量:

也就是根據 S1, S2, ... 去計算出 x, y, 依序在這些聯盟的不滿值
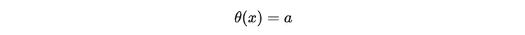
當代入 α = 1 時,

然後另一方面:

於是我們就結論出

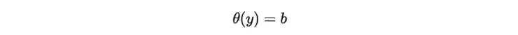
同理代入 α = 0 時,

又因為 θ(x) = θ(y) ,所以 a = b,於是根據構造

對於每一個下標 k,我們都有

也就是對於每一個聯盟 S ,我們都有

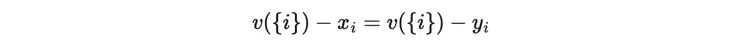
所以特別地,當 S = { i } 時,

所以

移項可以得到

因此我們做出結論

證明完畢。
Takeaway
- 字典序的反對稱性
=

- 我們可以利用嚴格的數學證明推導出核仁的唯一性
Reference
Lecture Slide by Martin Černý
https://kam.mff.cuni.cz/~cerny/data/CG/CG3-nucleolus_handout.pdf








