函數的性質
函數是一種輸出對應到輸入的規則,用來描述輸入輸出之間的關係。表示成:
y = f(x)例如,函數f(x) = x^2表示輸出值都對應到 x 值的平方。
函數可以具有不同的性質,以下是一些重要的概念:
- 定義域(Domain, D):函數的輸入值範圍,即哪些 x 值的範圍可以帶入函數計算。
- 值域(Range, R): 函數可能產生的輸出值範圍。
- 奇偶性(Odd/Even Function):
- 偶函數:若f(-x) = f(x),則函數圖形對稱於 y 軸。
- 奇函數:若f(-x) = -f(x),則函數圖形對稱於原點。
基本函數
多項式函數
例如f(x) = x^2 - 2x + 1。
分段函數
分段函數是一種 在不同區間內有不同定義方式 的函數。它的表達方式如下:

這類型的函數通常是建模在不連續或分段變化的現象上。
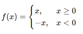
例如絕對值函數f(x) =|x|,我們可以將其寫為以下的分段表達:

另外一個直觀的例子是: 假設一家公司根據購買量來決定運費:

高斯函數
不大於本身之最大整數,如[2.5]=2、[-2.4]=-3、[-0.5]=-1
又稱階梯函數,可歸納成以下表示法:

又有以下幾種的高斯函數:
⌊x⌋代表小於或等於 x 的最大整數、⌈x⌉代表大於或等於 x 的最小整數。
三角函數
例如: f(x) = sin(x)、f(x) = cos(x)、f(x) = tan(x) ...等。
這邊我們一樣可以確認三角函數的奇偶性:
例如sin(-x) = -sin(x),為奇函數,所以圖形對稱於原點:

例如cos(-x) = cos(x),為偶函數,所以其函數圖形對稱於y軸:

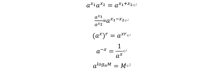
另外三角函數有一些常用的關係公式,分別如下所示:

反函數
給定一個函數 f(x),如果存在另一個函數 g(x) 使得:

則稱 g(x) 為 f(x) 的反函數(inverse function),記作:

要確保 f(x) 有反函數, f(x) 必須是一對一(one-to-one)的函數,也就是:
若 f(x) 是嚴格遞增或遞減,則它一定是一對一函數。我們可以透過水平線測試(Horizontal Line Test)來測試: 如果水平線最多與 f(x) 圖像交於一點,則它是一對一函數,因此可求反函數。
例如:
f(x) = x^2在整個實數範圍內並非一對一,因為f(-2) =f(2) = 4。
但若限制定義域為 x≥0,則f(x) = x^2是遞增函數,因此可求反函數。
反函數的求法就是將函數寫成 y = f(x),交換 x 和 y,即讓 x = f(y),最後解出 y,這個新的 y 就是:

處理過程的示範如下:

指數函數(Exponential Function)
指數函數是具有以下形式的函數:

其中:
- 底數 a 是一個正數且a ≠ 1。
- 指數 x 是實數
指數函數的基本特性:
- 當 a > 1,指數函數遞增
- 當 0 < a < 1,指數函數遞減
- x=0 時,所有指數函數的值都為1
圖形如下所示:

一些基本性質如下:

對數函數
對數函數是指數函數的反函數,其一般形式為:

其中:
- a 是底數(a > 0且 a ≠ 1)
- x > 0
- y 是指數的值,使得:

圖形如下所示:

一些基本性質如下:

本頻道持續更新中(內容涵蓋前端程式設計入門、大學必備程式設計入門、電子系專業課程入門、數學微積分題解)如果身旁有相關科系的學生,不妨推薦一下喔~
相信這裡會是家教或線上課程之外,高中、大學生系統性綜合學習的好選擇。
最後感謝您的觀看!



















