前導
同步計數器的設計步驟為:
- 確認需求與條件。
- 決定 Flip-Flop 數量。
- 列出狀態轉移表並視情況化簡。
- 列出狀態激勵表。
- 利用卡諾圖化簡狀態激勵表。
- 畫出同步計數器電路圖。
範例演習
我們以2進位上數同步計數器(2位元)為例子來進行講解:依照先前所講:
- 確定題意(例如利用JK正反器設計一個2位元的2進位上數同步計數器)
- 列出狀態圖(以本例子,總共4個計數狀態,4=22,所以至少需要準備2個正反器)

- 列出狀態激勵表

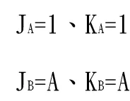
- 利用卡諾圖畫簡狀態激勵表

- 得到以下式子

- 畫出電路圖

計數器與組合邏輯電路
好,假設你按照上面所學又設計出了一個8模下數同步計數器,現在我希望能利用現有的8模下數同步計數器來設計一新電路,要求如下:
- 此新電路能對應輸出十進制數值 0, 1, 1, 2, 3, 13, 8, 7 等8種狀態的循環計數。
好,該如何做呢,對於此要求,我們不妨在計數器的輸出端添加一組合邏輯電路,以達成新電路的輸出,如下所示:

好,繼續分析,3位元8模下數計數器輸出每一個狀態對應4位元二進制數值如下:

我們分析最高位元D之布林代數式:

看1的部分得到:

經過化簡(卡諾圖或布林運算)得到:

剩餘的輸出端 C、B、A 以此類推即可得到組合邏輯模組的完整電路囉~




















