
量子力學奠基者保羅・狄拉克,他創立了 Bra-Ket 符號系統。
量子電腦會成為古典計算走不下去時的必然選項。但要跨入這個新領域,我們必須先掌握它的語言。如果古典計算依賴的是布林代數,用0 和1 描述所有運算,那麼量子計算的語言就是線性代數,是向量與矩陣構成的世界。
而讓這一切變得優雅、可閱讀、可思考的,就是物理學大師保羅・狄拉克所發明的符號系統 Bra-Ket 符號。狄拉克是量子力學的奠基者,也是預言反物質的諾貝爾獎得主。當年量子理論剛成形,描述量子狀態需要繁複的微積分與抽象的向量空間,讀起來極為笨重。
狄拉克認為,這種描述方式缺乏直觀。他希望能讓物理學家與後來的電腦科學家,都能以更簡潔的方式操作量子狀態,於是發明了這套符號,並已成為量子計算最核心的語言。學習它,是為了讓你熟悉這套字母表,而非要求你進行複雜的數學運算。
Ket:量子狀態本身
Ket(右矢) 是量子世界的主角,用來表示一個量子系統的狀態向量。
- 符號: ∣ψ⟩
- 發音: 唸作「Ket」(發音如:開特)。其中 ψ 讀作 psi(發音如:塞)。
- 意義: 狀態向量本身,代表一個量子系統的物理指向。
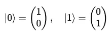
只要能被定義成向量,就能寫成一個 Ket,最重要的兩個 Ket,是量子版的0 與1:

在古典計算中,一個位元只有0 或1 兩種可能。在量子計算中,這兩種狀態被提升為空間中的兩個基本方向(即坐標軸)。
- ∣0⟩ 狀態: 這個狀態完全位於第一個坐標軸上(100% 確定是 0)。
- ∣1⟩ 狀態: 這個狀態完全位於第二個坐標軸上(100% 確定是 1)。
這兩種狀態是正交(互斥)的,如同二維坐標系中的 X 軸和 Y 軸。它們被稱為計算基態,是所有量子計算、所有量子邏輯閘、所有量子演算法的共同出發點。
任何合法的量子狀態都必須寫成一個 Ket。這是量子語言的第一條文法。
Bra:測量與對偶向量
Bra(左矢) 與 Ket 天生成對,它是 Ket 的轉置版本。
- 符號: ⟨ϕ∣
- 發音: 唸作「Bra」(發音如:布拉)。
- 意義: 作為測量工具或投影方向。它是一個橫躺的向量,定義了我們想要測量的目標方向。
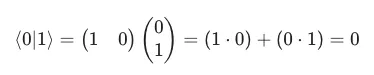
如果 Ket |1> 是一個直立的柱狀向量(像一個標槍),那麼 Bra ⟨1∣ 就是一個平躺的行向量 (1 0)(像一個量尺)。

Bra 不代表物理狀態本身,它代表一個「問題」: 「這個量子狀態有多少成分是朝著我所定義的 Bra 方向?」它的核心功能就是為下一個步驟:內積(乘法) 做準備。
Bracket(內積):概率幅的核心
當 Bra 和 Ket 結合,就是量子世界中最重要的計算:

它代表兩個量子狀態的重疊程度,而其平方值,就是實際測量出某狀態的概率。例如:

這表示兩者完全正交,不可能彼此測量到。這與古典「不是 0 就是 1」完全一致。但這只是故事的開頭。















