這是非常關鍵的問題,因為它直接打破我們從小學到的「牛頓直覺」:
❌ 動量 = 質量 × 速度(p = mv)
如果照這公式:
光子 m=0
→ p=0?
但實驗明明看到:
- 太陽帆會被光推動
- 雷射可以推動微粒(光鑷)
- 康普頓散射有動量守恆
👉 光子確實有動量
所以問題在:
🎯 牛頓公式不適用(必須用相對論)
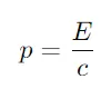
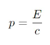
一句話先講答案
👉 光子的動量來自「能量」,不是「質量」
真正公式是:

而不是 mv
一、牛頓力學為什麼失效?
你熟悉的是:
p=mv
這只在:
👉 低速、非相對論(v ≪ c)
才成立
但光子:
v = c(光速)
已經是極端相對論世界
所以必須改用:
相對論動量公式
二、正確的相對論公式
愛因斯坦給出:

所以:

三、再代入光子的能量
光子能量:
E=hf
所以:
p=hf/c
這是最常用形式。
重要結論
頻率 ↑~ 能量 ↑~ 動量 ↑
藍光 > 紅光
X光最大
👉 高頻光「推力更強」
四、直覺物理解釋(為什麼沒質量還能推東西)
關鍵觀念:
👉 動量不是質量專屬
真正本質是:
「能量流動就攜帶動量」
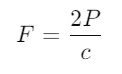
例子 1:電磁場壓力(輻射壓)
光照到鏡子:
- 光子反射 → 動量反向
- 動量改變 → 鏡子受力
力:

(P 是功率)
這就是:
👉 太陽帆原理
例子 2:光鑷(optical tweezers)
雷射束:
- 折射/散射改變光子動量
- 微粒被拉動
2018 諾貝爾獎技術。
五、更深一層(量子場論觀點)
從 QFT 看:
- 光子不是「小球」
- 是「電磁場的振動模式」
而:
場有:
- 能量密度
- 動量密度(Poynting vector)
所以:
👉 場本身就能帶動量
即使沒有質量。
六、用生活比喻幫你破除直覺
想像:
水波
- 沒質量的水波
- 卻能推動漂浮物
或:
聲波
- 沒質量
- 卻能震動窗戶
👉 波動本來就能傳遞動量
光子只是「量子化的波」。
七、關鍵對照表

🎯 一句話最終總結
「牛頓:動量來自質量;相對論:動量來自能量」
光子屬於後者。所以:
光子雖然沒有質量,但只要有能量,就一定有動量。

















