這其實是 量子光學最核心的兩種測量能力差異:
🔴 光子計數器 → 量到「有幾顆」🔵 相位測量 → 量到「波的相位資訊」
而關鍵是:
👉 光子計數器「本身」是測不到相位的!
必須靠「干涉」。
很多人第一次學都會卡在這裡。
一、什麼是光子計數器?(Photon Counter)
🎯 一句話
👉 能偵測「單顆光子到達」的感測器
把:
量子態 |1⟩
轉成:
電訊號(click)
🔹 它實際在測什麼?
測的是:

也就是:
👉 光子數(number operator)
結果只有:
0, 1, 2, 3 ...
完全沒有:
- 相位
- 偏振角度(除非加濾鏡)
- 疊加資訊
🔹 常見三種光子計數器
① APD(雪崩光電二極體)
最常見(QKD 用)
原理:
- 光子打進 → 產生電子 → 雪崩放大 → click
特點:
- 便宜
- 靈敏
- 只能分辨 有/沒有
👉 叫:
on-off detector
② SNSPD(超導奈米線)
目前最強
原理:
- 光子破壞超導 → 電阻突升 → 訊號
特點:
- 效率 > 95%
- 超低雜訊
- ps 等級時間解析
👉 量子通訊主流
③ TES(Transition Edge Sensor)
可數光子數
可以分辨:
1顆 / 2顆 / 3顆
👉 真正 photon-number-resolving
但:
- 超冷
- 慢
- 貴
二、關鍵觀念:為什麼光子計數器測不到相位?
這是量子力學本質問題。
🔴 相位在哪裡?
量子態:

👉 相位直接消失!!
🎯 物理意義
計數器測:
強度(energy)
相位是:
波的相對位置
你只量強度 → 永遠不知道相位
就像:
- 聽到音量
- 但不知道聲波振動的起點
三、那怎麼測「相位」?
答案只有一個:
👉 干涉(interference)
因為:

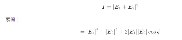
👉 相位 φ 出現在 cos 裡!
所以:
「讓兩束光相加 → 看亮暗變化 → 推回相位」
四、三種主流相位測量法
① Mach–Zehnder 干涉儀(最直觀)
光 → 分束 → 兩路 → 再合併 → 偵測
如果:
- 同相 → 亮
- 反相 → 暗
亮度:

👉 直接反推出 φ
這是:
- 重力波偵測(LIGO)
- 光學量子實驗
- 相位感測
的核心。
② Homodyne detection(量子光學主流)
用:
👉 強參考光(local oscillator)
與弱量子光干涉
signal + 強雷射 → beam splitter → 差動偵測
可以量:
- 振幅
- 相位象限(quadrature)
相當於:

👉 可重建完整量子態(量子斷層)
連續變數量子通訊都用這招。
③ Heterodyne detection
同時測兩個正交相位
但:
- 多一倍雜訊
五、最重要對照(一定要記)

六、直覺總結圖
光子計數器:
來一顆 → click
沒來 → 沒聲
只知道「有沒有」
相位測量:
兩束光疊加 → 亮暗變化 → 算相位
必須比較。
🎯 一句話最終記憶法
「計數看顆數,相位靠干涉」
或更物理一點:





















