
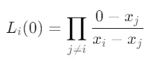
其中:

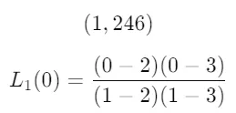
🔢 Step 1:計算 L₁(0)
對應點:

先算分子:

分母:

所以:

在 mod 251 下:

因為:

所以:

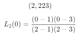
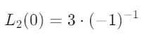
🔢 Step 2:計算 L₂(0)
對應點:

分子:

分母:

所以:

在 mod 251 下:

因為:

所以:

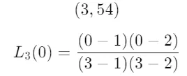
🔢 Step 3:計算 L₃(0)
對應點:

分子:

分母:

所以:

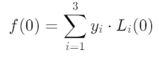
🧮 Step 4:代回主公式

第一項

第二項

第三項

🧮 Step 5:全部加總

🎉 成功還原

秘密成功復原。
🔐 為什麼 2 份做不到?
如果只有兩點:
可以畫出無限條二次曲線,
每條曲線對應不同的截距。
所以:
可能的秘密= 0~250 任何值
這是資訊理論安全。
🧠 本質理解
Shamir 秘密分享的核心:
用有限域上的多項式
把秘密藏在「曲線截距」裡
只要點數不足,
曲線就無法確定。



















