一、核心事實
Shamir 秘密分享的數學基礎是:
在一個「有限域(field)」上做多項式插值。
關鍵字:
域(Field)
二、域需要什麼性質?
一個集合要成為「域」,必須滿足:
1️⃣ 加法、乘法封閉
2️⃣ 有加法單位元(0)
3️⃣ 有乘法單位元(1)
4️⃣ 每個非零元素都有乘法逆元
這最後一點最重要。
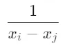
因為拉格朗日公式中有:

如果沒有逆元,公式會崩潰。
三、什麼情況下模運算是域?
考慮:

也就是 mod n 的整數集合。
事實:

這是代數基本定理。
四、為什麼非質數會出問題?
假設:

但:
- 2 ≠ 0
- 4 ≠ 0
這叫做:
零因子(zero divisor)
一旦存在零因子:
- 不是域
- 某些元素沒有逆元
例如:
2 在 mod 8 下沒有逆元。
因為:

無解。
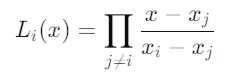
五、拉格朗日公式在哪裡壞掉?
回憶公式:

如果:

在模 n 下沒有逆元,
整個插值就無法計算。
六、質數為什麼保證有逆元?
若 p 是質數,
則對任何:

七、唯一性證明也依賴域
插值唯一性證明:

有 n 個根。
但 n-1 次多項式最多只有 n-1 個根。
矛盾。
⚠ 這個結論成立的前提是:
在域上。
若有零因子,
多項式理論會崩壞。
八、實務層面
在 Shamir 中我們需要:
- 模數 p > 秘密值
- p 為大質數(例如 256-bit)
例如:
- 2²⁵⁶−189
- 橢圓曲線常用質數
九、幾何直觀
- 質數模數 → 完整代數平面
- 非質數 → 會塌陷的結構
十、最深層原因總結
Shamir 需要質數模數的根本原因:
拉格朗日插值需要「每個非零元素可除」
而:

是最簡單的有限域。
十一、進階補充
其實不一定只能用質數。
還可以使用:

(質數次方有限域)
但本質仍然:
必須在域上運算。
一句話總結
質數模數不是為了「方便」,
而是為了確保數學結構是「域」, 否則秘密分享無法正確還原。


