這其實不是隨便選的,而是「統計學 + 現實成本」之間的最佳平衡。
我們拆開來看「95%信心水準、±3%誤差、樣本數約1,100」為什麼會變成業界標準。一、核心關係:誤差來自哪裡?
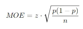
民調的誤差(Margin of Error)來自這個統計概念:

其中:
- z:信心水準(95% → 約 1.96)
- p:支持率(最保守取 0.5)
- n:樣本數
二、為什麼是「±3%」?
把最保守情況(p = 0.5)帶入:
- 若希望誤差 ≈ 3%
- 信心水準 = 95%(z ≈ 1.96)
解出來:
👉 n ≈ 1,067
也就是說:
👉 只要抽樣約 1,100 人,就能做到 ±3%
這就是那個「1,112」的來源(只是稍微多抓一點保險)
三、為什麼選「95%信心水準」?
95%其實是一個「心理與統計的平衡點」:
如果太低(例如 90%)
- 誤差變小,但可信度下降
- 容易被質疑「不可靠」
如果太高(例如 99%)
- 需要更大樣本數(成本暴增)
- 訪問時間變長、難度變高
👉 所以 95%剛好是:
- 學術上被廣泛接受
- 成本可控
- 公眾容易理解
四、為什麼不是 ±1% 或 ±5%?
±1%
- 需要樣本數 ≈ 10,000
- 成本極高(幾百萬以上)
👉 幾乎只在:
- 國家級研究
- 大型長期調查
±5%
- 只需樣本數 ≈ 400
👉 問題:
- 太粗
- 無法分辨接近的候選人(例如 48% vs 52%)
👉 所以:

五、為什麼幾乎全世界都用這組?
因為這組數字達成三個關鍵:
1️⃣ 可比較性
不同民調機構都用:
- 95%
- ±3%
👉 結果可以互相比較
2️⃣ 成本效率
- 約 1,000 人 → 幾天內可完成
- 電話或網路調查可操作
3️⃣ 統計穩定性
- 中央極限定理(中央極限定理)保證:
- 樣本分布接近常態
- 推論穩定
六、有一個關鍵真相(很多人不知道)
👉 「±3%誤差」只包含:
✔ 抽樣誤差(sampling error)
但現實還有:
- 問卷設計偏差
- 非回應偏差(不接電話的人)
- 隱性選民(不願表態)
- 加權模型錯誤
👉 這些誤差有時比 ±3% 更大
七、一句話總結
👉 95% / ±3% / 約1100樣本 = 在「可信度、成本、實務可行性」之間的最佳平衡點























