這個數字其實是從統計公式直接推導出來的,而且「1,100」不是神秘值,而是剛好對應「95%信心水準、±3%誤差」的最小樣本量。
我們一步一步來拆解👇一、關鍵公式(誤差怎麼來)
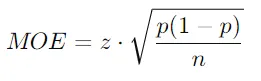
民調誤差來自:

其中:
- MOE:誤差(margin of error)
- z:信心水準(95% → 1.96)
- p:比例(支持率)
- n:樣本數
二、為什麼要用 p = 0.5?
因為:
👉 p(1−p)在 p=0.5 時最大(= 0.25)
👉 代表:
最保守情況(誤差最大)
三、代入條件計算
目標:
- 誤差 = 3% = 0.03
- 信心水準 = 95% → z=1.96z = 1.96z=1.96
- p=0.5p = 0.5p=0.5
代入公式:

四、解出樣本數 n
整理後:

計算結果:
👉 n ≈ 1,067
五、為什麼變成「1,100」或「1,112」?
因為實務上會做幾個調整:
1️⃣ 向上取整(保守)
- 1067 → 1100
👉 確保誤差不超標
2️⃣ 留給無效樣本空間
- 有些問卷會被剔除
- 需要多抓一點
3️⃣ 整數好報告
- 1100、1112 比較「漂亮」
- 1112 常見是分層抽樣後的結果
六、一個很多人不知道的重點
👉 這個 1,100 幾乎不受總人口影響
例如:
- 台灣 2300 萬人
- 美國 3 億人
👉 樣本數都差不多
原因來自:
中央極限定理
👉 當樣本夠大(>1000)時:
- 分布會穩定
- 不需要跟人口等比例增加
七、一句話講透
👉 「1,100樣本」是為了在最壞情況(50%支持率)下,仍能保證±3%誤差(95%信心)的最低成本解
八、直覺理解(很重要)
你可以這樣想:
- 誤差 ∝ 1 / √n
- 想把誤差減半(3% → 1.5%)
👉 樣本要變:
👉 4倍(1100 → 4400)
👉 所以:
👉 1,100 是「精度 vs 成本」的甜蜜點

















