課輔班(註)的小六學生問了以下的問題:

解法一、
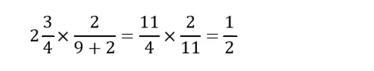
假設所求黃彩帶長為x 公尺,

亦即黃彩帶長度為 1/2 公尺。

簡單吧。
等等,學生還沒上國中……
先問問學生,老師教過未知數和方程式了嗎? 學生說沒學過,解法看不懂。糟糕,我不曾教過小學,怎麼說明才能讓小朋友理解?
大略了解國小數學課綱之後,試著問學生:
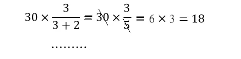
如果把30元分給甲、乙兩人,按甲:乙=3:2分配。 . . . . . . (ㄅ)
你會不會?
其實學生真的有上課,果然聽進去一些。他拿起筆就寫起來

我恍然明白,學生卡住,是因為題目給的比例是分數,沒見過,如果給整數比例,就覺得有信心了。
那容易,只要先做一步化成整數的工作。
解法二、
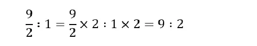
我們知道,把比例前後兩個數同乘以或同除以一樣的數(≠0),比例不變。所以

也就是,如果把紅彩帶當作9份,那黃彩帶就是2份,合起來就是11份,黃彩帶佔總和11份中的2份。接下來,學生就懂了,完成後續步驟


即使基礎數學能力一般的人,想必也覺得上述的解法很平凡。但讀友們若有孩子遇到類似的問題,這兩個解法都搞不懂,千萬別生氣(教自己的孩子容易發脾氣,是常見的現象),筆者以下再提供一種略嫌魯拙卻有效的辦法,希望能幫上忙。
解法三、
我們用猜的。先猜黃彩帶長1公尺,依題目條件,

發現已知條件是我們猜測結果的一半,那麼我們調整一下猜測值,黃、紅彩帶長都乘上 1/2 即可滿足題目了。
* * * *
用解法三,不一定都要從1猜起。我們再以(ㄅ)題為例,先猜分給甲15元,
∵ 3:2 = 3×5:2×5 = 15:10,
∴ 應該分給乙10元, 兩人合計25元,不到題目指定的30元。
計算該調整的倍數, 30÷25 = 1.2
把先前猜測的甲、乙兩數都乘上1.2倍, 就是答案。
∴ 甲=15×1.2 = 18, 乙=10×1.2=12
註: 在《當課輔志工有感》一文中提及,筆者擔任鄰近佛寺所興辦的弱勢家庭兒童課輔班之志工老師,協助學生完成功課,並檢查是否正確。
![[陳傳義]拍攝](https://img.vocus.cc/0Q1AVAuZmehRTuy1uoMKZ7mdTOCDGhPzlqWAERBhG90/w:740/f:webp/plain/https://images.vocus.cc/aa459b9b-afc9-4876-a88b-36c5704a948e.jpg)
[陳傳義]拍攝


