
聽說有個叫津胖胖的,依新聞報導 :
津胖胖在一次實地考察時,突然抱胸捧心姿勢倒下(典型的急性冠心病發作的動作),陪同的醫師緊急對他實施心肺復甦術(CPR),並送往附近醫院。這些都叫心臟猝死(sudden cardiac death)。慘了,旁邊的醫生,沒有人告知津胖胖,每增加體重10公斤,心臟猝死增加1.37倍呢!咦!他好像近年増加40-50公斤了。再加上抽菸及三高,會心臟猝死的機率就增加了。
這使我也想起了臨床上遇到「胖胖的CPR」,我們醫療人員真實很耗體力的..
胖胖CPR有三難
(津胖胖的醫官,不知道有沒有懂這三難?)
1.壓胸很難
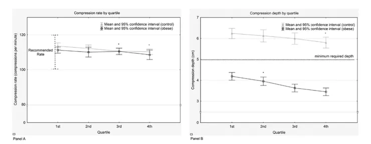
由於胸口太厚實,我們一般人要維持高品質 CPR 的需要:
按壓速度:100 ~120次/分鐘
按壓深度:至少為 2 英吋 (5 公分) 、 避免超過3 英吋( 6公分)
其實這些胖胖CPR,常會產生不了良好的的CPR品質 。更何況每100克的脂肪增加,其血容量,又得多增加3cc才能維持足夠的血液循環呢。急救人員自己也不知道,剛剛急救,是沒有效的胸壓,當然血液也打不出去的。(Participants were not fully aware of how ineffective compressions were.)但急救人員,會很快無力疲勞,什至急救的手會疼痛增加,因為胸壓一直沒有壓下去,但自己又耗了很大的體力。

也許可以如此解決:
1.遇到胖胖的胸部CPR ,我們都會1-2 分鐘,會很快換人接續CPR 。(changing rescuers more frequently than the standard 2-minute interval)

2.另外可以用人工急救幫浦機器,協助胸壓,以免人力耗盡,但是要胖胖前胸比較容易傾斜,機器會扣不穩(Use of mechanical resuscitation devices is limited by the slope of the anterior chest wall and thoracic dimensions but could be useful for this type of patients.)

3.對於這些胖胖的CPR,大家都建議提早內管插管。(Early tracheal intubation by an experienced physician is recommended.)
2.插管很難
胖面頰、短頸、巨舌、扁桃體腫大、腭咽部軟組織贅餘、頸或下頜活動受限。白話文,就是很難打開津胖胖的呼吸道。
也許只有專業的急重症醫療人員,才比較熟悉:
肥胖患者需要特別的「斜坡位」躺下的姿勢:即用斜坡安置患者,從腰後區域直至頸部,使頭部位於胸部水平以上,直至胸骨切跡與外耳道在同一水平。一般來說,該體位更利於患者通氣和氣管插管。


由於胖胖,其橫膈膜會往上堆,肺活量會減少、上呼吸道狹窄,又有嚴重的睡眠中止症候群,長期處於缺氧及低呼吸功能不足,當然,這種人也容易二氧化碳滯留,排放不出肺部的。
3.恢復很難
由於津胖胖的心臟已經被肥油團團圍住。那些心臓傳導路徑也易受阻,他有可能一個心律不整就會心臓掛掉,不然也易中風的。

日本對近1320位在院外死亡,又CPR 回來的,那些胖胖的病人,也都無法恢復腦袋意識清楚,即使存活,這些肥胖的病人,也都只是植物人狀態。
黃金急救三分鐘
如果津胖胖,真的是院外心跳停止,那急救品質又全做好,做滿,然後身旁又有AED ,津胖胖存活率就會很好了。

但是如果主要是未到醫院前,慌亂到沒有CPR很好 ! 身邊帶了一堆鎗炮,卻沒帶AED,如果以上一切沒有(胸壓,提早插管、AED電擊)做好,那存活率真的很差。即使活著,也是缺氧性腦病變的植物人了!希望津胖胖,快點醒過來,快點起床試飛蛋啊!我們在人間造神,但郤忘了其實津胖胖身邊,隨時有‘死神’。而死神跟COVID19 🦠病毒一樣,不怕鎗炮的,以上不知道有沒有人,會告訴津胖胖?























