1.0 從函數到函算語法

- 1.2.1 中譯的來源
- 1.2.2 一個速度問題
- 1.2.3 幾何的方法
- 1.2.4 微積分的記法
- 1.2.5弦的振動
七
雖然論爭沒有得出任何定論,但對函數概念的演化卻影嚮頗深。
在這次歷時多年的論爭中,函數概念得以擴大而包括兩類函數﹕
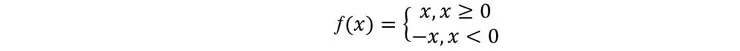
(a) 分析式在不同區間分段地界定的函數,譬如

(歐拉視之為不連續)36 便毫無懸念地首次被視為一個函數了。
(b) 隨手繪劃的函數 (可能不由任何多個分析式組合所給定)。
當振動弦的論爭在各持己見之中沉寂下來時,公元十八世紀中後期,法國數學家約瑟夫‧路易‧拉格朗日 (Joseph Louis Lagrange) 卻舊事重提,並且抱持歐拉的見解。以算法機靈著稱的拉格朗日從插值曲線 (interpolation curve) 入手,最終目標為導出歐拉的公式﹔期間,他對函數下了一個明確的定義﹕
(FL) 我們稱任一用作計算的表式為一個或幾個量的函數,不論這些量有沒有夾雜其他作為給定及不變值的量,及不論這些量以任何方式記入表式中﹔同時,該函數的量可以接受所有的可能值。因此,就函數而言,我們只考慮當為變元的量,而不用理會夾雜其間的常元。... 在一般情況下,我們在一個變元之前放置字母 f 或 F,用來指稱此變元的函數,也就是說,任何數量按某給定的律則取決于此變元,並且隨它一起變動。[Rüthing 1984: 73]
這個定義相當詳細。值得注意的是最後的部份﹕「... 我們在一個變元之前放置字母 f 或 F,用來指稱此變元的函數 ... 任何數量按某給定律則取決于此變元,並且隨它一起變動」。
在拉格朗日之前,關心函數概念的數學工作者專注於某量因應另一量的變動,即函數的量因應函數中的變量而變動,(FL) 則明確了量的變動有賴於「某給定的律則」。拉格朗日沒有直截了當地說出來的是,這個「某給定的律則」顯然就是該函數要表達的關係。
雖然差那麼一點點沒有說出來,(FL) 實在已將函數的另一個基本特徵提上議程。
__________
36 歐拉聲稱的連續函數和不連續函數與現代的連續函數和不連續函數具有不同的意義,有數學工作者將歐拉的使用意義分別稱為「E-連續函數」和「E-不連續函數」,以茲識別。
待續



















