1.0 從函數到函算語法

1.2 函數概念小史
- 1.2.1 中譯的來源
- 1.2.2 一個速度問題
- 1.2.3 幾何的方法
- 1.2.4 微積分的記法
- 1.2.5 弦的振動
- 1.2.6 熱的傳導
一
偏微分方程始於公元十八世紀,在十九世紀茁長壯大。
隨著物理科學擴展越深 (理解現象的深度) 越廣 (門類的增加),新類型的微分方程亦顯著增加,並且大都為了適應物理學的新領域。在這樣的一個背景之下,偏微分方程成為當時數學的核心內容。37 與本章題旨相關的,必須提出一點,求解偏微分方程導致函數理論的進一步發展。
與本章題旨相關的,必須提出一點,求解偏微分方程導致函數理論的進一步發展。
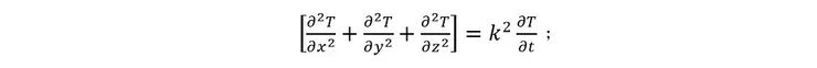
熱方程就是偏微方程。法國數學家尚‧巴普蒂斯特‧約瑟夫‧傅立葉 (Jean Baptiste Joseph Fourier) 之前沒有出現關於熱方程的通解,公元十九世紀初,傅立葉對在固體上的熱傳播做了詳盡的研究。若物體受熱或退熱,物體內部的溫度通常分佈不均,而任何區域的溫度亦會隨時間變動而變動。因此溫度 T 是空間和時間的函數。函數的精確形狀因應物體的形狀﹑密度﹑物料的比熱﹑T 的初始分佈 (即時間 t=0 時的分佈) 及物體表面的條件。1822年,傅立葉出版了《熱的分析理論》(Théorie analytique de la chaleur),書中首先計算在均質及各個同性體中作為 x﹑y﹑z 和 t 的函數的溫度 T。他證明 T 必然滿足稱為「三度空間的熱方程」的偏微方程﹕

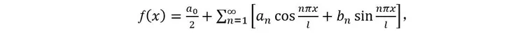
方程中的 k2 為常元,其值因應物體材料而定。在這個基礎之上,傅立葉逐一解決其他具體的熱傳導問題,最後得出一個結果﹕任一在區間 (-l, l) 上定義的函數 f (x) 皆可以在此區間上用一三角級數 (即正弦與餘弦的無窮總和) 表述為

其中計算系數 an 和 bn 的規則由

給出。這恰恰為丹尼爾‧貝努利的觀點提出有力的論證,因為反對丹尼爾‧貝努利給出的級數的一個主要原因正是缺乏計算級數中的系數的規則。傅立葉回應了丹尼爾‧貝努利的反對者,解決了計算系數的問題。
但傅利葉級數收斂嗎﹖
這在當時是個未知,也便成為最新的質疑。
__________
37 十九世紀初期,對偏微分方程 (partial differential equations) 的了解還在模糊階段,分門別類還沒有開始,數學工作者在解決物理問題時通常相當隨意地游走於各類形的偏微分方程之間,沒有意識到我們今日認為屬於非常根本的分野。正如數學家和數學史家莫里斯‧克萊恩評述,物理問題主宰數學工作者的取向,而當時的物理世界對數學工作者的分類仍然莫不關心。[Kline 1972: 671]
待續



















