Exploring Bitcoin's Value and Price: Using Models to Estimate the Reasonable Ranges for Upswings and Downswings

本篇文章同步發表於Medium,文章連結
本文前段為公開內容,付費內容將介紹我是如何佈局比特幣及未來發展的想法,深度剖析比特幣本質特色、發展、數據判讀、挖礦成本計算、估算漲跌幅滿足點、及我的佈局比特幣的觀點。
對於更細部的內容有興趣,歡迎進行購買付費內容
購買文章方式
1. VOCUS購買連結:傳送門
2. Google drive線上版本(200U)
- 僅接受USDT轉帳
- 轉帳後寄信至[email protected]告知轉帳資訊
- 確認後開通線上PDF瀏覽權
- 無閱讀期限,文章更新也會一併更新線上PDF
3. 挖礦成本計算Excel表(50U)
- 僅接受USDT轉帳
- 轉帳後寄信至[email protected]告知轉帳資訊
- 確認後寄出Excel表

先說結論
比特幣作為一種類似黃金的稀缺資產,隨著法定貨幣的購買力下降,其價值只會不斷提升,且特別適用於對抗通膨與增值資產。作為去中心化的數位貨幣,比特幣不僅是一種新興的資產,更是未來支付方式的一部分。隨著全球共識的加強和更多人的認同,比特幣將在價值儲存和支付領域發揮更重要的作用。因此,對於那些猶豫不決的人而言,現在正是認識並擁抱這一資產的好時機,不要錯過這一可能改變未來財務格局的機會。
目錄
Chapter 0 - 引言
Chapter 1 - Bitcoin興起: 歷史總是驚人的相似
Chapter 2 - Bitcoin的本質特色: 物以稀為貴的反通脹屬性資產
Chapter 2-1 - Bitcoin的本質體現
Chapter 2-2 - Bitcoin的區塊鏈特色
Chapter 3 - Bitcoin挖礦的帳務原理
Chapter 3-1 - Bitcoin的架構與規則
Chapter 3-2 - 比特幣挖礦的歷史演進
Chapter 3-3 - 從Bitcoin Explorer剖析全網挖礦動態資訊
Chapter 4 - Bitcoin與各類資產的比較分析
Chapter 4-1 - Bitcoin V.S. 黃金
Chapter 4-2 - Bitcoin現貨 V.S. Bitcoin ETF
Chapter 4-3 - 機構法人/商業公司布局Bitcoin的概況
Chapter 4-4 - 自己如何看待與使用Bitcoin資產
(付費)Chapter 5 - BTC循環週期與估算漲跌區間
(付費)Chapter 6 - BTC的後續發展想法
(付費)Chapter 7 - 結論
備註
參考文獻
文章聲明
免責聲明
Chapter0 - 引言
2008年的金融海嘯引發全球經濟劇烈動盪,為應對危機,各國大量印鈔以穩定經濟,這一舉措也促成了比特幣的誕生。現今法定貨幣的信用體系建立在債務之上,但過度借貸使全球經濟債台高築,金融風險加劇。無節制的印鈔導致資產價格飆升,使得財富分配的鴻溝進一步擴大。一些國家甚至因經濟脆弱性和過度印鈔引發惡性通膨,民眾的財富急速縮水。在這樣的背景下,我逐漸意識到法定貨幣購買力的流失,從生活中的物價上漲與包裝縮水都能明顯感受到這一點。自2008年後的資產價格飆升,回顧過去,若未及早進行有效投資理財,財富差距將越來越大。在此情況下,比特幣以其稀缺性、全球通用性和去中心化特質,成為新型避險資產與價值儲存工具。我選擇比特幣正是因為其有限的總量與減半機制,稀缺性將持續支撐其長期價值增長。
儘管許多國家已經開始推動數位法幣,表面上看似是為了提升電子支付的便利性,但在一些極權國家,數位法幣可能成為政府用來監控和限制人民生活的工具。相比之下,比特幣的去中心化、不可篡改和隱匿性,或許是保障個人財務自由的最佳解答。當然,比特幣的崛起並非一帆風順,它經歷了新舊金融勢力的博弈以及許多重大事件的推動,比特幣逐步展現其作為稀缺資產的價值。因此,對於想要長期持有比特幣的投資者而言,深入了解其本質特性及未來發展趨勢尤為重要。
接下來,我將從比特幣的歷史背景、內在特質、挖礦原理、資產屬性以及牛熊循環中的漲跌幅滿足點比較等多個層面,全面探討這一數位資產的發展脈絡與未來潛力。理解這些要素,將有助於更好地掌握比特幣的長期價值,並在未來的市場中做出更明智的投資決策。
Chapter 1 - Bitcoin興起: 歷史總是驚人的相似
2008年,全球金融體系遭遇了一場史無前例的危機,這場金融海嘯源自於美國的次級抵押貸款市場。大量收入不穩定的人群卻能輕鬆擁有幾套房產,在這樣畸形的次級貸款市場發展下,最終在次級貸款大量違約後,導致房地產市場崩潰,進而引發金融機構的連鎖反應。兩家華爾街巨頭—貝爾斯登(Bear Stearns)和雷曼兄弟(Lehman Brothers)接連陷入巨大的資金困境,在雷曼兄弟公司宣告破產,形成骨牌效應,整個金融市場陷入恐慌,銀行間的信貸市場凍結,股市大幅下跌,並隨後經濟陷入衰退。這場危機摧毀美國無數家庭的財富,數百萬人失去工作和房屋,經濟的不確定性空前增高。隨著整個遞延效應的擴散,也陸續在歐洲、加拿大、亞洲等全球地區引發金融海嘯的影響。
身為美國17大的金融機構,同時也是美國第五大投資銀行的貝爾斯登(Bear Stearns),其規模是美國金融公司的平均兩倍大。貝爾斯登與銀行、證券商、避險基金、退休基金、各國政府、企業公司等約5000名交易對象及75萬個開放式衍生性金融商品合約。當次貸危機爆發後,貝爾斯登的資產負債表迅速惡化,讓市場對貝爾斯登信心急劇下降,集體恐慌心理引發一場史無前例的擠兌危機。在4天內儲備金從180億美元縮減到20億美元,投資者和客戶紛紛撤資,資金短缺問題愈加嚴重。最終,美國聯邦儲備銀行(Fed)不得不介入,協助摩根大通(JPMorgan Chase)以象徵性的價格收購貝爾斯登,避免其破產對市場造成更大衝擊。
貝爾斯登引發的恐慌尚未結束,接著的雷曼兄弟也在2008年9月14日出問題。作為美國第四大投資銀行,雷曼兄弟同樣深陷次貸泥潭。2008年9月,由於資金鏈斷裂,雷曼兄弟無法償付即將到期的債務,最終申請破產保護,隨後再度引發大眾恐慌,擔心是否還有其他銀行會接連倒閉,美國政府在雷曼兄弟破產後選擇不再出手拯救,這一決策引發了金融市場的恐慌情緒,各家大小銀行再度出現擠兌潮,進一步加劇金融危機的影響波及全球,如圖1-1。

圖1-1、雷曼兄弟倒閉
在雷曼兄弟倒閉後,美國國際集團(American International Group, AIG)也在2008年9月16日出現狀況,在信用評級調降、銀行向AIG擠兌,導致流動資金緊絀。事件使聯邦準備局(Federal Reserve, FR/FdR)宣布向AIG提供850億美元的緊急貸款,以避免公司因為流動性不足而倒閉,如圖1-2。

圖1-2、AIG流動性危機(Source: Chart of the Decade: AIG and the Lesson of the Long View)
在2008年9月19日,美國政府採取一系列緊急措施以穩定金融市場。其中一項主要措施是大規模的財政刺激、Fed降息、量化寬鬆等政策,一系列的刺激政策如同大規模印鈔,來確保資場資金充足流動性。美國政府認為某些大型金融機構"大到不能倒(Too Big to Fail)”,如果倒閉將會對整個經濟體系造成災難性影響。因此,美國政府選擇救助這些機構,向其注入大量資金以保持其運營。這些措施在穩定市場的同時,也導致貨幣供應量的急劇增加,進而稀釋了人民的購買力。普通民眾的財富被無形中削減,而金融機構和華爾街的巨頭們卻因此得以渡過難關,如圖1-3。

圖1-3、美國貨幣供應:由中央政府發行的貨幣(US: Money Supply: Currency Issued by Central Government)
在全球瀰漫著恐慌、絕望、高壓、失業的氛圍下。在2008年10月31日,一位化名中本聰(Satoshi Nakamoto)的神秘人士發表《比特幣:端對端電子現金系統(Bitcoin: A Peer-to-Peer Electronic Cash System)》的論文,由此比特幣(Bitcoin, BTC)的概念孕育而生。比特幣被視為對傳統金融體系的一種革新,首次提出點對點電子現金系統,其核心理念是創建一種公開、透明、去中心化、不可竄改、帳本資訊的區塊串聯、無需信任中介的交易系統,且恆定的電子現金(比特幣)數量也限制住貨幣浮濫增發的情況,從而避免中央金融機構濫用權力的風險的方式。最具革新特色的一點是,將原有中央政府的鑄幣權力轉移到平民,只要是為協助比特幣網路營運、維護的貢獻者,皆可以獲得比特幣的獎勵。
比特幣網絡(Bitcoin Network)在2009年1月3日啟動,中本聰挖出比特幣的第一個區塊,又稱創世區塊(Genesis Block)或區塊0。在這個區塊中,中本聰留下一條註記內容”The Times 3 January 2009 Chancellor on brink of second bailout for banks”,這內容就是當天《泰晤士報(The Times)》的頭條新聞,反映當時金融危機的嚴峻形勢及政府救市的背景。這條註記相當有代表意義,也被解讀為對傳統金融體系的不信任與創建比特幣理念的強調,如圖1-4。

圖1-4、比特幣創世區塊資訊(Source: The New and Renewed Bitcoin Narrative)
2020年,全球經濟再次面臨重大挑戰。2019年底的新冠疫情(COVID-19),從中國爆發後迅速蔓延到全球各地,各國政府採取出入境管制、封城等封鎖措施以遏制病毒傳播,如圖1-5。導致全球經濟活動的急劇下降,企業營運停滯,失業率飆升,市場信心動搖,形成前所未有的經濟衝擊。
在此嚴峻的環境背景下,美聯儲(Fed)開始一系列的財政刺激政策,用以穩定金融市場、確保企業資金流動性無虞、給銀行提供充足流動性、緊急援助家庭短暫開支,以幫助企業和家庭受此事件造成更嚴重的經濟危機。
- 2020年3月3日,美聯儲(Fed)緊急降息50個基點,將聯邦基金利率下調至1.00%~1.25%,以應對疫情衝擊,並預計在3月17日的會議再度降息。
- 2020年3月15日,美聯儲(Fed)再次緊急降息100個基點,將聯邦基金利率下調至0.0%~0.25%,並宣布7000億美元的量化寬鬆計劃。
- 2020年3月17日,美聯儲(Fed)宣布建立商業票據融資機制(CPFF)和貨幣市場投資者融資機制(MMLF),以支持短期融資市場的流動性。
- 2020年3月23日,美聯儲(Fed)宣布無限量化寬鬆政策(Unlimited Quantitative Easing),將購買國債和抵押貸款支持證券的規模從之前的7000億美元擴大至無限量。
- 2020年3月27日,美國政府簽署《冠狀病毒援助、救濟和經濟安全法案(CARES Act)》,批准美聯儲(Fed)撥款總額2.3兆美元的援助,包含直接支付、失業救濟、小企業貸款等。並在4月下旬開始向合資格的美國公民和居民發放經濟影響支付,每位成人最多獲得1200美元,每位小孩500美元。
- 2020年4月9日,美聯儲(Fed)宣布新的7000億美元經濟支持計劃,擴大公司債券購買,支持信貸市場。
- 2020年4月24日,美國政府簽署《薪資保護計劃和醫療保健強化法案》,額外提供4840億美元,用於小企業貸款、醫療支援和病毒檢測。
- 2020年12月21日,國會通過9000億美元的經濟刺激方案,包括每人600美元的直接支付,額外的失業救濟和小企業援助。
有鑑於2008年的金融海嘯慘痛經驗,這次疫情引發經濟運作停擺,流動性停止。為了避免重蹈覆轍,這回美國政府與美聯儲(Fed)迅速執行一系列強有力的財政刺激政策,穩定金融市場及維持流動性,以幫助企業和家庭受此事件造成經濟危機。大量援助資金的湧入確保流動性無虞,但也進一步擴大貨幣供應量(US$15.5Tn→US$19.1Tn),導致市場對通貨膨脹的擔憂加劇,如圖1-6。

圖1-5、Covid-19 Global Cases(Source: JHU(https://coronavirus.jhu.edu/map.html))

圖1-6、美國M2貨幣供給量
2020年疫情影響期間,比特幣在5月11日迎來第三次產量減半,區塊獎勵從12.5BTC減少到6.25BTC。這次產量減半的特殊意義在於,當時正經歷全球Covid-19疫情爆發且經濟停滯的時期,當年美國政府與美聯儲(Fed)緊急注資約3.7兆美元以穩定市場,政府美意是要維持經濟運作,但實施的措施如同2008年金融海嘯。最終,全球經濟拯救了,但有一群人需要為這樣的救市措施承擔副作用。在5月11日產量減半的區塊中,被註記著” With $2.3 Trillion Injection, Fed’s Plan Far Exceeds Its 2008 Rescue”,這註記內容也是當天《紐約時報(The New York Times)》的頭條新聞,如圖1-7。讓人有種「歷史總是驚人的相似(History Doesn't Repeat Itself, but It Often Rhymes)」的交疊感。這也更突顯比特幣本質的作為一種抗通脹、避險資產、價值保存的重要價值。

圖1-7、比特幣第三次產量減半的區塊資訊
Chapter 2 - Bitcoin的本質特色: 物以稀為貴的反通脹屬性資產
Chapter 2-1 - Bitcoin的本質體現
本章介紹比特幣(Bitcoin, BTC)本身價值及特色,由此掌握長期發展的價值。比特幣的本質在於作為一種數字資產的價值體現,最主要有保值、反通脹、稀缺、剛需、自主、避險等本質,如圖2-1。

圖2-1、比特幣的本質特色
● 保值性
比特幣的保值性源自於總量被限定在2100萬枚,無法像法定貨幣那樣隨意增發,因此不受通貨膨脹的影響。在每次產量減半發生後,供給量持續減少,尤其在2032年時的總供應量達99%,往後的100多年將會把最後的1%供給完畢,如圖2-2。以目前時間點(2024年),已釋放的比特幣集中在特定的持幣大戶(鯨魚)手上並鮮少在市場上流通,當大眾對於比特幣的需求增加時,使得市場流通與挖礦產出的比特幣供給不足,就會使本身價值形成反通膨的保值。這就能解釋比特幣被視為種“數位黃金”,能夠有效保值,作為長期抵抗貨幣貶值和經濟不確定性的保值資產。

圖2-2、比特幣供給量曲線
● 反通脹性
法定貨幣(如,美元、歐元、新台幣等等)會產生通貨膨脹(Inflation)[註1]主要驅動因素有需求拉動(Demand-pull)、成本推動(Cost-push)、貨幣供應量增加(Built-in inflation)等。需求拉動(Demand-pull)和成本推動(Cost-push)形成的通脹影響通常是短期和局部性,但貨幣供應量增加(Built-in inflation)是直接對整個經濟體的貨幣基礎產生持續系統性的影響,導致所有的商品和服務廣泛的價格上漲;不只如此,央行持續增加貨幣供應量,會使通脹持續並加劇,且不太可能逆轉。這種長期的通脹壓力會影響經濟增長、投資決策和消費者行為。這也是美國在2008年金融海嘯後,開啟量化寬鬆與低利率政策,帶來資金浮濫增發的舉措,推動生活物價(食、衣、住、行、育、樂)與資產價格(房價、股價、貴金屬、奢侈品、比特幣等)不斷推升的主要原因。如圖2-3所示,100美元的購買力從1913年至2023年已經稀釋約97.51%,如此巨幅的稀釋還自於1913年至2013年貨幣供給量增加702倍(紅色虛線),在2008年的金融海嘯後影響,從2013至2018年增加29.2倍的供給量;從2013年至2023年增加42.3倍的供給量。
比特幣的固定總量(2100萬枚)加上每一輪的產量減半,使每個區塊獎勵的供給量會再少一半,形成供給量與在外流通的比特幣數量持續縮減與稀缺性增加,促使通脹率下降,形成反通脹屬性。而法定貨幣的浮濫增發,恰好讓比特幣的反通脹性更加明顯。如圖2-4所示,1美元法幣可購買力越來越低,而1枚比特幣可購買力越來越高的呈現,以比特幣購買Apple iPhone的變化最顯易的呈現,如圖2-5。

圖2-3、美元購買力變化走勢圖

圖2-4、法定貨幣的通貨膨脹與比特幣的反通貨膨脹

圖2-5、以iPhone比擬BTC購買力
●稀缺性
古有云:「物以稀為貴」。剖析這句話,在描述物質/物品/商品之所以會呈現高價值的原因是供給量有限且稀少、時間年代久遠、名聲名氣、做工精巧細緻等,這也就能解釋名車、名錶、精工錶、名牌商品、奢侈品、寶石、貴金屬、限量品、古董、精品包、名酒等,為何都如此高貴的原因,即便時間久遠皆能保有其價值。
與黃金相似,比特幣的有限供應使得其價值不斷提升,尤其是在需求爆炸性增長的情況下更是。比特幣的獲得是通過爭奪區塊獎勵,每四年一次的產量減半使供給的流通性會緊縮翻倍。這機制形成比特幣供應越來越少,且90%的比特幣供應在2020年以前就已經產出,而大部分的幣被囤積著沒有在市場中流通。當比特幣的產出與市面流通越稀少,其稀缺性就會帶來價格推升,更高的價格就會帶來更高的價值,形成螺旋上升效應。這也是比特幣能夠吸引眾多投資者長期持有保存的原因。
●剛需性
一個物品/商品必須有其剛性需求,才會促使人們持有作為媒介使用。如房產具有「居住、安全感」的剛性需求,才驅使人們購買或租賃房產。相同概念,套用到比特幣也是相似,早期需要使用到加密貨幣(比特幣)的四大剛需是走私、洗錢、毒品、收藏。因比特幣的去中心化與匿名特性,使得需要匿名方式交易商品的人群形成強勁剛需,帶動需求增長;現今對比特幣的使用需求與發展已有轉變,在未來的剛需可能是作為支付、法定貨幣、外匯儲備、資產保值、資產證明、避險等。
比特幣的剛需促進其價值增長,隨著區塊鏈技術的應用和加密貨幣市場的擴展,比特幣的應用場景越來越廣泛,無論國際匯款、跨境支付,或作為數字資產的投資工具,比特幣都展現出強勁的需求。這種持續的市場需求進一步鞏固比特幣的價值。
●自主性
比特幣的自主性是區別傳統法定貨幣的重要特點。傳統法定貨幣的價值由該國家信用背書,具有地域性限制,如歐元只能在歐洲使用,澳元只能在澳洲使用等。這些貨幣的價值依賴於各國的經濟和政治穩定性,一旦出現政局動亂或經濟危機,這些貨幣可能迅速貶值甚至變為廢紙,有些國家甚至會將大規模爛帳與舊幣拋棄成立新貨幣,如圖2-6的1923年的德國惡性通脹、圖2-7的1949年的台灣以4萬元舊台幣折換成1元新台幣、1948年上海金圓券風暴、1948年的上海發生的惡性通脹(影片連結)等許多國家地區,過往發生惡性通脹的國家,如圖2-8。這些國家的貨幣會出現問題主要源自政治不穩定、經濟崩潰、政策失誤、戰亂等狀況。
當國家出現政治動盪、經濟危機、銀行本身的財務危機時,銀行體系首當其衝的承受大量貨幣擠兌的壓力,擠兌壓力將會形成骨牌效應擴散到各銀行機構。而銀行會以許多措施限制擠兌或變為爛帳,造成讓人民的財富受到限制甚至遺失,如圖2-9。
比特幣的出現,讓人類歷史上首次由所有人完全掌握「鑄幣權」的機會,完全掌握擁有私人財富的控制權,不受任何國家或機構的干涉,其價值基於全球對比特幣的共識。任何人在任何地方都能使用比特幣支付購買商品或服務。這種去中心化特性,使得比特幣成為一種超越傳統法定貨幣限制的全球性貨幣。比特幣的自主性還體現在其抗審查能力上,由於比特幣交易是點對點進行的,沒有中介機構,因此任何政府或機構都無法輕易阻止或控制比特幣交易。這對於生活在經濟不穩定或受金融制裁影響的地區群體尤為重要,這些人群通過比特幣避開傳統金融系統的限制,自主地管理和使用自己的財富。
比特幣開啟「鑄幣權」後,各式區塊鏈項目也開始雨後春筍般的在不同領域賽道生長,這些項目也都發行專屬的加密貨幣(Coin)或數位通證(Token),藉此來經營該項目的生態圈。有的專門在解決目前產業現況的痛點、有的在對現有領域進行破壞式創新、有的在創造新需求應用、有的專門在圈錢割韭菜,非常多樣的發展。
![圖2-6、1923年的德國惡性通脹(Source:[歷史照片]1923 年德國超級通脹︰2000 億馬克買一個麵包的時代)](https://img.vocus.cc/rqcmbpKv1A-Yul61hNMTZK-IO_A-JQeGrZQBffetbQE/w:479/f:webp/plain/https://images.vocus.cc/ddf9d721-68f6-48b2-9d1c-a9761b24864d.jpg)
圖2-6、1923年的德國惡性通脹(Source:[歷史照片]1923 年德國超級通脹︰2000 億馬克買一個麵包的時代)

圖2-7、1949年台灣發布舊台幣折換新台幣

圖2-8、從1900年至今的法定貨幣體系崩潰的國家

圖2-9、全球各地的銀行擠兌新聞
● 避險性
避險性質主要可分為抵禦資產貶值、動盪亂世的公認交易媒介。
全球國家在出現經濟問題時,最主要的手段是量化寬鬆的貨幣刺激政策,這舉措會讓法定貨幣供給量持續增發,形成錢的購買力被稀釋。比特幣作為反通脹的資產,有良好的保值性。將比特幣納入投資組合中,能分散風險並”抵禦法定貨幣貶值”,提高資產配置組合的穩定性。
另外的避險特性是”動盪亂世的公認交易媒介”,希望全世界和平不要有用到的那一天。試想過,如果全球任一地方發生政經動盪事件,甚至最糟狀況的戰爭發生時,身上唯三能作為交易媒介的就是美元、黃金、比特幣。出現必須趕緊離開的當下,再去銀行、ATM排隊等待領錢已經太晚了,銀行可能會開始限制擠兌。若是要攜帶黃金逃離,還得解決兌換黃金,即便已經兌換完黃金,身上已經是滿滿行李還要攜家帶眷的逃離,這樣情況還要再扛著幾公斤的黃金,會非常顯眼且拖慢移動速度。但是攜帶比特幣只要持有任何形式裝置的冷錢包,就可以快速移動,且只要對方也接受比特幣支付就能快速購買需求商品或服務。
而攜帶比特幣逃難的情況真確發生過。在2022年的一位烏克蘭難民Fadey,先跟友人兌換比特幣,逃到邊境時再將600美元的比特幣兌換成波蘭幣,用以支付巴士車票、旅館住宿費、餐費等,以便逃到波蘭,其他積蓄就用USB冷錢包將比特幣儲存下來,如圖2-10。

圖2-10,帶著比特幣逃難的烏克蘭難民(Source: 帶著一支USB和2000美元的比特幣,烏克蘭男子逃出生天)
Chapter 2-2 - Bitcoin的區塊鏈特色
比特幣作為首個區塊鏈項目,其獨特的特色也對區塊鏈技術發展,提供相當大的啟發與學習,該特色如去中心化、安全性、隱匿性、透明可追溯性和防篡改性。

圖2-1、比特幣的本質特色
●去中心化|
比特幣最核心的特性之一。傳統貨幣系統依賴於中央銀行和金融機構來發行貨幣和紀錄帳本內容,該國的人民在進行金融交易時,由央行做為中心化機構處理帳務程序與紀錄,如圖2-11;比特幣則採用點對點(P2P)網絡技術,完全取消中心化的控制權,交易過程是由眾多(礦工)節點進行帳務處理並記錄到區塊鏈中,並廣播通知所有節點更新帳本資訊,如圖2-12。
比特幣網絡的去中心化特性也增強其安全性。由於區塊鏈副本分佈在全球眾多節點中,任何攻擊者若要控制網絡,必須同時掌握全網51%以上的計算力。當整個節點規模越來越龐大的分散狀況下,這在現實幾乎不可能實現。由此,比特幣被認為是一個高度安全的數字貨幣系統。

圖2-11、法定貨幣金流處理流程

圖2-12、數位貨幣金流處理流程
●安全性
比特幣的安全性依賴底層的加密技術(SHA-256)和共識機制(PoW)[註2]來保證其安全性和私密性。比特幣交易運用底層技術與共識機制,確保每筆交易的合法性和不可逆性,而每個比特幣地址都是由公鑰和私鑰生成[註3],只有持有相應私鑰的人才能對其進行操作,確保用戶資產的安全。
比特幣的加密技術採用SHA-256(Secure Hash Algorithm 256-bit)的單向雜湊函數。SHA-256將任意長度的輸入數據轉換為一個固定長度的256位(32字節)雜湊值/哈希值。這個哈希值是唯一且不可逆,即便輸入數據有微小變化,輸出的哈希值也會完全不同。
確保比特幣網絡的營運正常,不僅需要底層加密技術,也需要工作量證明(Proof of Work, PoW)的共識機制支持,通過解決複雜的數學問題來爭奪記錄交易的權力,這涉及大量的SHA-256哈希運算,非常消耗計算資源與能源。從而增加攻擊者進行網絡攻擊的成本和難度,保障網絡安全,還防止雙重支付等欺詐行為。
●隱匿性
隱匿性是比特幣吸引眾多用戶的重要特點之一,交易紀錄是公開在區塊鏈上,但交易雙方的身份信息並不顯示在交易記錄中,且比特幣地址也是匿名,這使整個交易過程保持隱私。這也是造成早期比特幣的交易深受暗網、走私等不法交易者所使用。
隨著區塊鏈分析技術的不斷發展,比特幣的隱匿性並非絕對,仍是可透過比特幣地址的交易紀錄循線追蹤到最終的交易所兌換法幣的終點,因為交易所都是要KYC(Know Your Customer)的鎖定每位用戶的實名資訊,杜絕不法活動可能利用比特幣進行資金轉移。各國政府和監管機構正尋找平衡點,在保護用戶隱私,也防範潛在的非法活動。
● 透明可追溯性
在比特幣的區塊鏈網絡中,完全公開透明,每個人都在區塊鏈相關網站查看每個區塊的各細節資訊,如圖2-13,從區塊訊息中也能查找出這區塊的所有交易紀錄。圖2-13的區塊資訊分為左邊的區塊資訊(Block Information)、右邊的轉帳資訊(Transaction Information)。左邊的區塊資訊中,呈現區塊的哈希值、高度、手續費、取得這區塊記帳權的礦工等;右邊的資訊則是這約10分鐘內的所有交易,任意取一個交易來看。比特地址14dJR…piXyn這個用戶本身持有多少比特幣、歷次進出的歷史、哪個比特幣地址轉入/轉出等。如果要再深入追訴,可針對某筆交易紀錄,打開該區塊資訊檢索。

圖2-13、比特幣的區塊鏈資訊
● 防篡改性
這是比特幣區塊鏈技術的大優勢,鏈上每個區塊都包含前一個區塊的哈希值,這種鏈接結構使得任何試圖改變歷史交易記錄的行為都極其困難。若要篡改某個區塊的交易記錄,不僅該區塊需要重新計算,還必須重新計算其後所有區塊的哈希值,修改後還要去中心化的節點超過51%的確認,才會變更整個區塊資訊。
比特幣區塊鏈的防篡改性仰賴於51%攻擊定律和防範雙花攻擊(Double-Spending Attack)。51%攻擊定律是指某個惡意行為者或團體如果能夠控制網絡中超過51%的計算能力,就可以對區塊鏈進行攻擊,包括阻止新交易的確認、逆轉已完成交易的篡改;雙花攻擊是指一個人試圖在比特幣或其他加密貨幣網絡中花費同一個數字貨幣被使用兩次的欺詐行為。任何篡改行為都需同時控制和修改多數節點的數據,這在現實中幾乎是不可能實現,故比特幣的區塊鏈被認為是高度安全且防篡改的數字賬本。
Chapter 3 - Bitcoin挖礦的帳務原理
本章節介紹比特幣的架構與規則,由此再延伸到黃金採礦與比特幣挖礦的比較與歷史演進,最後從比特幣探索器(Bitcoin Explorer)來剖析全網挖礦動態資訊。
Chapter 3-1 - Bitcoin的架構與規則
比特幣網絡是由多層結構組成的分散式系統,運作方式和傳統金融系統有著顯著的區別。這網絡建構包含以下幾個關鍵部分:
1. 比特幣基本規則:在創建時已經設定總量為2100萬枚,且每枚BTC可分割至小數點後8位(0.000 000 01 BTC),此亦為最小單位是” 聰(Satoshi)”,且每個區塊生成時間約10分鐘,但會根據全網難度進行每兩週動態調整,礦工節點經由爭奪區塊記帳權而獲得區塊獎勵,如圖3-1。區塊獎勵會在每產出21萬個區塊時發生產量減半,從初始的50 BTC會持續減半至0 BTC,最終會再2140年產出所有比特幣。

圖3-1、比特幣難度變化資訊
2. 底層節點的運算設備(礦機):比特幣網絡依賴分布在全球的節點,每個節點都是個運行比特幣軟體的運算設備(礦機),這些(礦機)共同參與尋找隨機數(nonce)以求解哈希值(Hash Value)、交易驗證和獲得區塊生成的獎勵等。這些節點設備從早期的個人CPU電腦設備、組建GPU設備、可程式化編程(FPGA)設備,再到專業礦機的ASIC設備等,不斷的演進計算能力(算力)。
3. 區塊鏈連接與工作量證明(PoW):比特幣區塊鏈不斷生成新的區塊來記錄交易,每個區塊連接前一個區塊,形成一條鏈。每個新生成的區塊都要由全網節點(礦工)求解數學難題找到隨機數(nonce),使得這個新區塊的雜湊值滿足特定條件,隨即廣播到全網讓其他節點(礦工)進行驗證。驗證確認有效性後,新區塊與這個時間段的交易紀錄被添加到區塊鏈中,而找到隨機數的節點(礦工)就會獲得區塊獎勵。這個過程也稱為工作量證明(Proof of Work, PoW)。
簡單理解這過程,會是一間教室裡面坐滿學生,每個學生都在努力的共同計算數學難題,突然一位學生舉手大喊"算出來了!",隨後所有學生一起驗證這個解答,大家驗證確認無誤後,大家開心地互相慶祝、擊掌、歡呼。而第一個算出來答案的學生就獲得獎勵,如圖3-2。

圖3-2、圖像化區塊鏈求解隨機數
4. 產量減半:每當礦工搶奪到記帳權後,並通過驗證之後就能獲得區塊獎勵,此時新區塊就會產生。每當產生出210,000個區塊時,比特幣的區塊獎勵會減半,獎勵由50 BTC減至25 BTC、12.5 BTC、6.25 BTC……、直至0 BTC,此過程稱為”產量減半(Halving)”。
5. 分散式帳本:比特幣的區塊鏈是一個分散式的公共帳本,記錄所有比特幣交易。每個節點都保留著一份完整的區塊鏈拷貝,通過共識機制來確保數據的一致性和不可篡改性。
6. 應用層:這層是用戶與比特幣網絡互動的介面,包括各種錢包應用、交易所和支付平台。用戶可以通過這些應用發送和接收比特幣,進行日常交易。
為更加便利的去理解整個架構,可參照圖3-3。擁有比特幣地址的使用者可無國界的互相傳輸比特幣,轉帳動作都是由底層的節點(礦工)處理,處理後將交易紀錄存入區塊鏈中。隨著時間的推移,比特幣網絡規模逐漸擴展,吸引越來越多的貢獻者(礦工)和投資者參與其中,而運算設備(礦機)也呈現算力的飛躍進展。

圖3-3、比特幣區塊鏈網絡的架構圖解
Chapter 3-2 - 比特幣挖礦的比較與歷史演進
1848年在美國加州發現金礦後,造成大量美國本地人、外籍移民等前往此處淘金,而淘金技術也不斷演進,以加快挖掘、篩選的效率。相關的工具設備公司(Levi Strauss & Co、Eagle Manufacturing Company)、交通運輸公司(Wells Fargo & Company、Butterfield Overland Mail Company、Studebaker)、郵務(Sears, Roebuck & Company)、食品公司(Maine Canning Company、H.J. Heinz Company)、金融公司(Bank of California、Wells Fargo)、通訊公司(Western Union)等產業孕育而生,這也是著名的美國淘金潮(Gold Rush),如圖3-4所示。可由美國淘金潮(Gold Rush)的歷史進程框架來看比特幣的挖礦發展。
如圖3-5所示,比特幣挖礦技術由初期CPU運算來求解隨機數,當時算力約為450H/s[註4],隨後在2010年時開始採用GPU運算來求解,算力提升至25MH/s;到2011年轉採用彈性度更高的FPGA,算力提升至1.5 GH/s,算是非常大的算力增幅;2013年由比特大陸(Bitmain)推出首款基於ASIC技術的專用礦機Antminer S1,大幅提高挖礦效率與算力(180 GH/s),與FPGA有約530倍的算力差距。由此迅速開啟大量市場應用,推動挖礦行業的高速發展。
隨著ASIC礦機的高效率挖礦,加速礦工建立規模化礦機集群進行挖礦,硬體設備(礦機)的集群區域空間,稱為礦場;而某個礦工或多位礦工集結旗下所有地區的礦場算力,稱為礦池。而F2Pool(魚池)在2013年4月建立中國最早的比特幣礦池,接著是比特大陸(Bitmain)運營的礦池AntPool在2014年成立。後續還有ViaBTC Pool、Foundry USA、Binance Pool、SpiderPool等等的礦池建立。
從2013年後的挖礦產業形成個人、企業共存的狀態。但隨著每次的產量減半、國家政策的調整,挖礦產業逐步淘汰效率低落、成本過高、非法建立的礦場,使得整個產業越來越高度專業化、競爭化、整合化。在2020年產量減半過後,整個挖礦產業型態已經轉成礦商企業為主要挖礦族群,存活下來的都是大資本、高度規模化、高度整合、低成本、合法合規等優勢。如圖3-6所示,從我自己參與挖礦的觀察中,2016年~2020年間,明顯現象是持有礦機的個人、礦商企業、租賃算力的礦商企業,大家從單打獨鬥挖礦轉為合夥聯盟挖礦的方式。個人的算力資源加入到某一礦池中,集結該礦池所有算力來挖礦,最後再將獲得的區塊獎勵,依照貢獻算力比例進行分配。
在2020年時,中國礦工的總算力佔比達到71%以上,這些都要歸功於低廉的成本與模糊政策的定向。但在2021年5月時,中國政府宣布「打擊比特幣挖礦和交易行為」計畫後,立即吊銷加密貨幣挖礦企業的許可證,並切斷挖礦設施供電,僅1個月時間就使得中國約90%礦工停止運作。接著中國政府在2021年9月表明宣告加密貨幣相關業務為非法金融活動,並將挖礦列入「淘汰類產業」,禁止加密貨幣挖礦相關計畫。中國禁止加密貨幣活動後,加速礦工離開中國,並選在美國、俄羅斯、加拿大、哈薩克、衣索比亞等地落腳。這些地區環境不外乎成本低廉、法律友善都優勢。一部分中國礦工轉赴美國投資,建立加密貨幣礦場,至少在美國的12個州,如阿肯色州、俄亥俄州、俄克拉荷馬州、田納西州、德克薩斯州、懷俄明州等,都有建立礦場的蹤跡。
在2020年後,不只是中國礦工的遷徙,在美國的挖礦公司也紛紛在股票市場IPO上市,如Marathon Digital Holdings (MARA)、CleanSpark Inc. (CLSK)、Cipher Mining Inc. (CIFR)、Bitfarms Limited (BITF)等,歐洲與加拿大等地的挖礦公司也蓬勃發展,如Core Scientific、Cipher Mining、Iris Energy、Startmining、Argo、Greenblocks、Advania Data Centers、Valkyrie、TeraWulf、Borealis Data Center、Bitfury、Hive Blockchain、Intelion、Bitriver等,這些商業公司也紛紛加入戰局瓜分挖礦紅利。而比商業公司更大規模的國家政府,如非洲衣索比亞(Ethiopia)、中美洲薩爾瓦多(El Salvador)、南美洲委內瑞拉(Venezuela)、北亞洲俄羅斯(Russia)、中亞洲哈薩克(Kazakhstan)等,運用當地天然資源轉換成低廉電力進行挖礦。這些國家強勢產業不在主流科技產業潮流,反而是以農漁業、採礦業、能源業為主。本身這些國家經濟仰賴出口大宗商品,與依賴外債來推動本國產業發展,因此美元的匯率就會佔據舉足輕重的影響,當美元轉為強勢(升值)與本國貨幣持續弱勢(貶值)時,就會增加償債成本、減少外匯收益、形成中重度的通貨膨脹(鈔票貶值)等影響。
薩爾瓦多為了改善自身國家的經濟負擔,在2021年6月宣布將比特幣作為法定貨幣,成為第一個比特幣貨幣國家,這政策讓無銀行帳戶的70%本地居民,持有手機就能使用金融服務,同時對身在外國工作者,也降低轉帳的費用。在國家層面則是減少對美元的依賴,增加貨幣主權,促進經濟靈活性;除了薩爾瓦多外,中非共和國也在2022年的Q2宣布採用比特幣作為法定貨幣。

圖3-4、挖金礦與比特幣挖礦的演進

圖3-5、挖礦設備與規模轉變

圖3-6、歷年挖礦群體結構演變
Chapter 3-3 - 從Bitcoin Explorer剖析全網挖礦動態資訊
本章節接著介紹,從比特幣瀏覽器(Bitcoin Explorer)中解讀各項數據所帶來的含意,並與前章節的知識作結合。目前的比特幣瀏覽器(Bitcoin Explorer)有非常多網站資源,如BTC.com、Blockchain.com、Tokenview、OKX、blockchair等,這邊以BTC.com做展示。而其他種類的加密貨幣,只要是提供運算設備參與全網節點的營運、維護,都能以比特幣運作原理進行相關知識的延伸,來理解研究其他種類的加密貨幣規則。
進入BTC.com網站後,可看到比特幣的市值(Market Cap.)、已挖出總量(Circulation)、剩餘數量(To be mined)、全網狀態(Network Status)、礦池(Pool)等,如圖3-7。

圖3-7、BTC Explorer基本資訊
如圖3-8所示並參照圖2-13輔助理解,左半邊的全網狀態(Network Status)提供許多重要資訊,這邊需要知曉的是哈希率(Hash rate)、難度(Difficulty)、每單位收益(Earning/T)、難度調整(Expected Next Difficulty)、難度調整日期(Date to Next Difficulty)、交易費獎勵/區塊獎勵比率(fee reward/blocks rewards ratio)。
- 雜湊率/哈希率(Hash rate):每台運算設備(礦機)在進行湊值運算,每秒能夠執行的次數,以每秒Tera Hash rate哈希算力為基本單位(TH/s)。整個運算過程,需要尋找到一個隨機數(nonce)與區塊中的數據經過SHA-256加密雜湊函數演算法(Hashing)後滿足特定條件(如,哈希值前面有若干個零),生成雜湊值/哈希值(Block Hash/Hash Value/Hash)的過程稱挖礦。將每台運算設備的算力集結後,這個數值也代表比特幣網絡的總算力,558.12 EH/s = 558,120 PH/s = 558,120,000 TH/s。
- 難度(Difficulty):比特幣網路的初始設定是每10分鐘產出一個新區塊,當產出2016個區塊後會進行難度調整,產出2016個區塊需耗時14天。而新區塊生成時間受全網算力所影響,實際時間會有所不同。如果全網算力增加,新區塊生成速度也會加快,產出2016個區塊會少於14天完成,此將觸發難度提升;相反地,如果全網算力減少,產出2016個區塊會多於14天完成,此將觸發難度下降。
- 難度調整(Expected Next Difficulty):新難度值基於本次週期(2016個區塊)的總耗時,進行增減難度,以補足到20160分鐘(2016(區塊)×10(分))的目標時間。如果總耗時小於目標時間(20160分鐘/14天),表示挖礦效率高,難度會上調;反之,總耗時大於目標時間,難度會下調。
難度調整的公式,確保調整後的難度能使下個週期的區塊產出的總耗時約為10分鐘。難度調整公式如下:
新難度(New Difficulty)=舊難度(Old Difficulty)×(20160(分鐘))/(本次週期(2016個區塊)的總耗時)
算力增加:如果本次週期用12天(17,280分),新難度 = 舊難度x(20,160分/17,280分) = 舊難度x1.1667。難度會上調約16.67%。
算力減少:如果本次週期用16天(23,040分),新難度 = 舊難度x(20,160分/23,040分) = 舊難度x0.875。難度會下調約12.5%。 - 難度調整日期(Date to Next Difficulty):產出2016個區塊需耗時14天(2016(區塊)×10(分)÷1440(分→天)),因此難度調整時間會約為14天,但實際數字隨著當下周期的運算效率而有增減。
- 每單位收益(Earning/T):表示運算設備(礦機)每天每單位的算力所獲得的收益。由Chapter 3-2章節中提到,現在挖礦轉為合夥聯盟挖礦的模式,許多小礦工為增加與確保挖礦效益,加入礦池來集結算力,評估運算設備(礦機)盈利能力有Pay-Per-Share(PPS)、Full Pay-Per-Share(FPPS)的方式。
Pay-Per-Share(PPS)是某礦池根據池中的礦工提交的有效算力份額(share),依照比例支付固定收益。無論礦池是否獲得區塊獎勵,礦工都能獲得穩定的收益。PPS模式降低礦工的風險,提供穩定的收入,但通常礦池會收取較高的手續費以彌補沒搶到區塊獎勵的風險。
Full Pay-Per-Share(FPPS)是PPS模式的改善,某礦池根據池中的礦工提交的有效算力份額(share),依照比例支付固定收益及交易手續費。使得礦工的收益更貼近實際區塊獎勵與手續費的總收益。 - 交易費獎勵/區塊獎勵比率(Fee Reward/Blocks Reward Ratio):表示礦工獲得交易費獎勵與區塊獎勵比率,這兩個是挖礦主要收入來源,有助於衡量在總收入中佔比。
區塊獎勵(Blocks Reward)是每產出一個新區塊時,搶奪到記帳權的礦工會比特幣作為獎勵,區塊獎勵從初始的50BTC會持續減半至0。
交易費獎勵(Fee Reward)是每個比特幣交易需要額外交易費,這時間段所有交易的手續費加總打包作為獎勵,提供給搶奪到區塊記帳權(找到哈希值)的礦工。
隨著區塊獎勵逐步減半,交易費在收入的佔比權重會逐步增加。這也是在2140年後,比特幣區塊獎勵全部供應完後,礦工維繫全網運作的僅剩收入來源。

圖2-13、比特幣的區塊鏈資訊

圖3-8、BTC Explorer全網狀態
如圖3-9所示的右半邊的礦池(Pool)提供目前全網算力排名的礦池及其相關資訊,如礦池算力(Real-Time Hash rate) 、全網佔比(Network Share)、一週幸運值(7D Lucky)、挖掘區塊數(Blocks Mined)、區塊平均手續費(Avg. Tx Fee per Block)。如圖3-11所示,若點選Foundry USA後,可看到這個礦池的更多資訊,如每日挖掘區塊(Mined Blocks)、區塊資訊(Blocks List)。

圖3-9、BTC Explorer礦池資訊
- 全網佔比(Network Share):這是指某一礦池在全網中的佔比。
- 一週幸運值(7D Lucky):幸運值是基於統計學的概率計算,比特幣挖礦是個尋找隨機數的過程,找到一個區塊的機率取決於該礦池的總算力與全網算力的比值。一週幸運值(7D Lucky)為一週的實際值與理論值的平均比值,當幸運值為100%表示找到的區塊數量與理論值相符;超過100%表示找到的區塊數多於理論值;低於100%表示找到的區塊數少於理論值。
下述舉例計算Foundry USA的幸運值,如圖3-10。Foundry USA近期(1個月)的算力占全網算力的27.44%。比特幣區塊的每天約有144個區塊(24小時 * 6個區塊/小時)。Foundry USA能找到區塊的理論數量平均為39.51個(144個區塊*27.44%),7天共能找到276.59個區塊。
以2024年6月27日的數據中,該週找到8(Lucky:70.53%)、23(Lucky:57.94%)、29(Lucky:93.21%)、48(Lucky:83.12%)、27(Lucky:90.68%)、47(Lucky:85.64%)、52(Lucky:95.45%)個區塊,共254個區塊,求得Foundry USA的幸運值為91.83%。 - 挖掘區塊數(Blocks Mined):指區塊獎勵減半至3.125BTC後,這一週期區塊獎勵截至今日(2024/6/27)已被挖掘的區塊數。由此可估算出每週幸運值、每月平均收益狀態為何。
- 區塊平均手續費(Avg. Tx Fee per Block):將兩區塊間的時間段所有交易的手續費加總打包,在搶奪到區塊記帳權(找到哈希值)的手續費總和。
- 區塊資訊(Blocks List):可看到Foundry USA挖到的區塊編號(Height)、區塊獎勵(Reward)、哈希值(Block Hash/Hash Value/Hash)、每一筆的交易內容等內容資訊,如圖3-12。
以上內容就是從BTC Explorer來觀察全網挖礦的實時資訊,這個資訊有助於推算整個比特幣網絡的挖礦成本價,至於如何計算將會在後續章節仔細介紹。

圖3-10、Foundry USA 一週幸運值計算

圖3-11、BTC Explorer礦池資訊-2

圖3-12、區塊資訊
Chapter 4 - Bitcoin與各類資產的比較分析
在本章節中,我將以資產角度進行比特幣與黃金的細部比較,觀察其相似與相異之處。以黃金作為基礎探討與比特幣屬性是否相同,還能有哪些相似的發展潛力。接著,比較比特幣現貨與比特幣ETF,評比它們各自的特點,並根據不同需求規劃投資想法。最後,整理近年來投資比特幣的公司與企業,藉此了解比特幣在機構投資者中的接受度和普及程度。透過目前資訊的比較分析,提供對比特幣地位和潛力的全面理解。
Chapter 4-1 - Bitcoin V.S. 黃金
比特幣和黃金作為當前市場上兩種具有重要影響力的資產,其詳細比較如圖4-1。這兩種資產都展現顯著的反通脹屬性。黃金因其固有的稀缺性和應通貨的避險功能,早已成為投資者在經濟不穩定時期的首選及經濟穩定期的儲備資產;比特幣自中本聰於2008年發布白皮書的創建,總量被限制在2100萬枚,與整個屬性特質與黃金相似,而逐漸被視為數位黃金。且固定供應量確保比特幣的稀有性,使其能在法定貨幣不斷增發、通脹壓力增加的情況,提供有效的保值屬性,吸引大量尋求資產避險與資產保值的投資者。

圖4-1、Bitcoin V.S. 黃金
黃金的開採受自然資源和技術限制,其總量估算雖未確定,目前黃金已開採約197,576噸;比特幣則通過白皮書明確規定總量與已被開採19,718,021.88枚比特幣,佔總量的93.8%。這種透明度和可預測的特性,使比特幣的開採成本和市場價值能夠相對穩定地進行推估。
在用途方面,黃金與比特幣存在相似處,也存在顯著的差異。黃金長久以來被廣泛用作投資和避險工具,尤其在經濟動盪時期,黃金的穩定性和抗風險能力,成為資產保值的重要手段。但最大的缺點是實物攜帶的重量重。因此,最佳方式仍是攜帶黃金到他地區/國家後再兌換成等值該國貨幣,不過有個缺漏是攜帶黃金2kg或等值2萬美元以上出境都需要申報、申請許可證等手續,否則將會被罰錢、沒收等處分。
比特幣同樣具備投資、避險、支付等功能,數位化特性賦予應用上有更多變化。不僅能用於全球跨境支付,還因去中心化和匿名性的特點,成為數位經濟時代的理想支付手段。這使得比特幣在跨境交易、資本流動和數字資產管理等方面,展現出更廣泛的應用前景。現今的支付方式已經非常快速集便利,在許多地方使用比特幣交易已經是再簡單不過的事情。
觀察現況(2024年)與6年前(2018年)的差別,確實感受到有非常大的變化。比特幣的幾輪牛熊市循環週期,催生出眾多的加密富豪。但加密富豪身上的BTC、ETH、USDT等,還沒有完善合法合規的兌換成法定貨幣、稅務徵收管道,使得加密富豪雖有大量財富,卻無法有效的大額資金流動到法幣、商品、服務中,促使大量加密資產再經歷週期循環的翻漲數倍增值。
現今越來越多公司致力於比特幣等加密貨幣的支付,使得使用數位資產支付越來越便捷,讓大量的加密富豪,可以有多元管道進行消費使用。下述整理比特幣支付場景:
- 在這視頻,薩爾瓦多的小孩使用比特幣的閃電支付來購買零食。
- 在這視頻,展示薩爾瓦多的 K1 Technology 公司製造的比特幣自動提款機(Bitcoin ATM)K1 Mini,這台支付終端機能接收美元轉成比特幣或支付比特幣換取商品/服務等,這為使用比特幣進行日常交易和支付提供極大的便利,尤其是在薩爾瓦多這國家,大部分居民沒有銀行帳戶則更加合適,已經被廣泛接受和使用。
- 在這視頻,展示巴西在校園教育已經在教學齡幼童如何使用比特幣支付,這些學齡教育的這群小孩將很有可能影響未來20年的主流消費方式。
- 在這視頻,展示在德國用比特幣支付購買啤酒已經非常便利且快速,表明歐洲正在逐步接受這種支付方式。
- 同屬歐洲的瑞士在2022年宣布BTC、USDT作為法定支付貨幣,瑞士小鎮盧加諾市更是加大加密貨幣的使用範圍,如消費支付、繳稅、支付罰單、市政與教育費用等,大力推動的背後是穩定幣發行商Tether與盧加諾市合作啟動Plan B計劃,目的將其打造成「歐洲的比特幣之都」。目前,該城市已超過200多家商店和企業接受加密貨幣支付,且超過15%的市民使用瑞士法郎穩定幣(LVGA)進行日常支付,從麥當勞到百年老店都支持比特幣支付。這舉措顯示加密貨幣正在歐洲成為主流支付方式。
- 台灣近年來出現接受數位貨幣(BTC、ETH、USDT)支付的房產交易,自2015年至今(2024年)已經有至少5件,如圖4-2、4-3。雖然台灣政府將比特幣認定為虛擬通貨,而非貨幣,但從房產交易中可看出對比特幣價值認同度提高,可接受法定貨幣(新台幣)以外的加密貨幣支付,日常支付也逐漸被店家採用,比特幣的支付方式正在萌芽。這種趨勢推動比特幣的市場需求,也顯示出加密貨幣在未來經濟活動中的重要地位,全球對加密貨幣的共識增高,未來將有更多場景應用展開。
- 全球各地越來越多商家接受比特幣或其他加密貨幣的消費,可由BTC Map中看到目前全球用戶已有驗證過的商家,如圖4-4。目前(2024/7/1)現況而言,歐洲、中美洲、南美洲的商家採用數量最高,接著才是美國、南非、印尼菲律賓、中東等地。後續只要比特幣的資產價值再提升,這些地區的國家、商家都是直接受惠的區域。
- 我在2024年的日本旅遊時,發現Bic Camera竟然也接受比特幣支付,如圖4-5。
- 義大利豪華跑車商法拉利(Ferrari)在2023年10月與BitPay合作,開放美國接受BTC、ETH、USDC支付購買車款,在今年(2024年)的7月底前將加密貨幣支付擴展到歐洲,及計畫今年底前推廣至國際各地有合法接受加密貨幣支付的經銷商,如圖4-6。
- 現在不只一般消費可用加密貨幣消費,連旅遊的機票、住宿、活動等都可用加密貨幣消費,如圖4-7。

圖4-2、台灣售房網站刊登接受比特幣支付(2018)

圖4-3、台灣售房網站接受比特幣支付(2023)

圖4-4、接受比特幣消費的商家點

圖4-5、Bic Camera接受比特幣消費

圖4-6、法拉利(Ferrari)接受加密貨幣支付

圖4-7、旅遊消費以加密貨幣支付
金融市場中,有發行黃金現貨ETF商品,黃金ETF在2003/11/18上市,上市後的8年內(2011/8/11)價格上漲398.38%,若統計發行日至2024年5月1日的漲幅為532.13%。顯示投資者對此類金融商品的強烈需求和認可,成為投資者避險和增值的選擇。而比特幣與黃金的稀缺性和避險屬性相同,因此比特幣ETF、黃金ETF可以一同對標觀察,以黃金ETF的發展,來評估比特幣ETF後續的可能發展,如圖4-8。
2003年黃金ETF剛通過時,其市值約為1兆美元(US$1tn)左右,這20年間經歷大大小小的全球事件,如金融海嘯、歐債危機、原油價格暴跌、英國脫歐、全球疫情肆虐與供應鏈中斷、俄烏戰爭等,在2024年時,市值上漲至12兆美元(US$12tn)。比特幣ETF於2024年1月11日剛剛推出,儘管上市時間較短,但其潛在的市場表現被廣泛看好。說巧不巧的是,在發行比特幣ETF的此時(2024/6)市值約為1兆美元(US$1tn),考慮到黃金ETF在上市初期的迅速增長,若按照黃金市值增幅推演,未來比特幣市值在未來某天,也非常有機率推升至12兆美元(US$12tn)以上,如圖4-9。比特幣現貨ETF有望在未來複製黃金現貨ETF的模式。
隨著全球金融市場的發展,投資者對於這些新資產的接受度和需求也將持續提升,使得比特幣在未來的金融生態中佔據越來越重要的地位。比特幣現貨ETF的推出標誌著加密貨幣市場進入主流投資領域,其潛在的市場表現令人期待。在科技進步、法定貨幣供給量增發、債務負擔倍增的背景下,比特幣現貨ETF有望展現出更大的漲幅,成為下一個重要的資產類別,吸引更多的投資者和資金流入,進一步鞏固其在金融市場中的地位。

圖4-8、黃金ETF走勢圖
Chapter 4-2 - Bitcoin現貨 V.S. Bitcoin ETF
這章節將比較比特幣現貨與ETF的異同,如圖4-10。下述對重點內容的相同點、相異點剖析:
1. 相同點是兩者皆為價值儲存的商品、持有BTC遺失很大機率要認賠
- 價值儲存的商品:以價值儲存、資產增值為出發點,持有現貨或ETF皆可,且持有ETF已經沒有折溢價的問題。在先前ETF審批通過前僅有灰度比特幣信託(Grayscale Bitcoin Trust, GBTC)的直接錨定比特幣現貨的商品,就有發生過溢價43.21%及折價48.89%的巨幅差距,當時若持有此商品的報酬率會受到折溢價的影響,但在比特幣ETF通過後,自由流入流出的籌碼已經不受限的情況,折溢價情況也逐步趨於零,如圖4-11。
- 持有BTC遺失很大機率要認賠:不管是持有現貨或持有ETF,若發生最糟糕狀況是被盜竊、遺失等狀況,完全是要自己認賠。當投資者持有現貨時,可能會出於便利而存放在熱錢包的交易所,當交易所發生意外狀況,如員工串通或詐欺、盜竊、安全漏洞、駭客攻擊、詐欺性轉帳等,這些資產也就是完全消失;若投資者將現貨儲存在冷錢包時,但又遺失助記詞,這也是完全遺失資產。換到ETF,也是有類似的風險在,貝萊德(BlackRock)遞交美國證券委員會(SEC)的S-1申請文件中也明確寫明《Coinbase Global 維持著高達 3.2 億美元的商業犯罪保險,旨在承保 Coinbase Insureds 持有的客戶資產損失,包括員工串通或詐欺、實體損失(包括盜竊)、關鍵材料損壞、安全漏洞或駭客攻擊,及詐欺性轉帳。Coinbase 持有的該保險由所有客戶共享,並非特定於某個信託的客戶,並且可能無法或不足以保護信託免受所有可能的損失或任何來源的損失。並且和存款不同,比特幣不受FDIC(聯邦存款保險公司)或SIPC(美國證券投資者保護公司)擔保,任何的遺失(包括私鑰)將不需要任何人對此負責。》由此也得知,不管是自己持有或購買ETF都還是有需承擔的風險,這也是投資加密貨幣資產時,需要先評估與試想對策的細節。
2. 相異點是支付、保存、稅務、交易門檻、產權屬性等需注意的細節
- 支付:比特幣現貨有股權、產權、交易權等,現貨可用來做為交易媒介來換取商品或服務,也有像股權般有價值增長的趨向。
- 產權屬性:未來10年內,比特幣將可能作為資產認定的權利,現階段(2024/6)的財務會計標準委員會(Financial Accounting Standards Board, FASB)已發佈新的會計準則,要求企業持有的加密貨幣如比特幣(BTC)和以太坊(ETH)按公允價值計算,並在淨利中反映公允價值的變化,以真實反映持幣損益。此新則(https://aboutblaw.com/bbR6)將於2024年12月15日後生效,適用於上市和私人企業。這舉措顯示,企業已逐步接受加密貨幣作為一種資產,並將其視為具有財務價值的產權。雖然FASB的新規主要針對會計處理方式,但它確實將加密貨幣視為一種重要資產,類似於其他金融資產,這在某種程度上相當於承認加密貨幣的「產權」屬性。比特幣ETF的屬性是證券化的美元資產,持有ETF的投資人不會擁有比特幣現貨,因此在投資過程中賺取的僅有資本利得。
- 保存:比特幣現貨的保存可在冷錢包(離線儲存裝置)、熱錢包(交易所),完全依照用戶的選擇而定;比特幣ETF僅是證券化的表徵,其錨定的比特幣現貨會由發行商,如灰度(Grayscale)、貝萊德(BlackRock)、方舟基金(ARK)、富蘭克林(Franklin)、富達投資(fidelity)等委由託管商保管,如BitGo、Coibase、Gemini。
- 稅務:稅務的處理與規劃要看發生地、稅務身份、該國法律規範、稅務規劃等,這部份會有太多變因與專業內容,因牽涉到法律專業與法律規範,個人的諮詢,暫無提供。
- 交易門檻:比特幣現貨的購買需要先開立交易所、出入金帳戶連結、冷錢包建立、錢包地址的互相白名單建立,最終才開始買賣現貨;比特幣ETF就簡單非常多,只要用券商帳戶在市場上即可買賣。

圖4-10、Bitcoin現貨 V.S. Bitcoin ETF

圖4-11、比特幣信託(GBTC)的折溢價
2024年的熱門大事件是比特幣ETF與以太坊ETF上架美國證券交易所,打開傳統法幣與加密貨幣可對接流通的窗口,這個意義重大。傳統法幣的機構/法人/公司可能因規章、法規的限制、安全性疑慮與監管不健全等因素,無法直接投資比特幣現貨,而比特幣ETF與以太幣ETF在美國證券委員會(SEC)已確認核可與監管下,能放心投資加密貨幣市場,這促使傳統法幣活水大量湧入加密貨幣市場,且比特幣ETF與比特幣現貨為等量的錨定,當比特幣ETF的需求量持續增加下,使得比特幣現貨市場可供給流動量低於傳統法幣機構法人的巨量需求,將會大量推升比特幣價格。
在2024/1/11通過比特幣ETF後,當下已經能確認比特幣走勢發展已經從散戶時代過渡到機構法人時代,這觀點的最佳佐證是貝萊德(BlackRock)發行的比特幣ETF(IBIT),在短短的144天(2024/6/3)就達到200億美元的規模,若再把其他9個ETF加總起來約有460億美元的規模,如圖4-12,再根據 HODL15Capital的資料統計到6月21日,美國證券市場的比特幣ETF在推出6個月,ETF發行商就已經購入持有867,532枚BTC(563億美元),如圖4-13。
不只如此,根據美國證券委員會(SEC)規定,管理股票資產1億美元以上的股權資產機構在2024年Q1披露持有的13F報告,統計共414家機構和股東持有IBIT、402家機構所有者和股東持有GBTC、超過200家機構持有FBTC、超過100家機構持有BITB等,如圖4-14。
如此短時間的巨量資金湧入且新推出ETF就有上百間機構法人持有的狀況,這是先前任一金融商品未見的情況。比特幣ETF已經有如此誇張的資金流入量,若是比特幣現貨的狀況應該更由為驚人,下章節將解析機構法人布局比特幣現貨的概況。

圖4-12、BTC ETF資訊(2024/6/29)
Chapter 4-3 - 機構法人/商業公司布局Bitcoin的概況
觀察到已經有非常多的機構法人已經開始布局比特幣ETF,在這章節藉由bitcointreasuries(https://bitcointreasuries.net/)的公開數據觀測,綜觀剖析商業公司、私人公司、全球比特幣ETF、各國政府等持倉變化,由此推估比特幣後續發展性。如圖4-15所示,整個商業公司、ETF、國家在2023/8/30、2024/1/3、2024/1/29的三個時間段都出現大幅買入的情況,而在2024/1/29之後的走勢發展,仍在持續增持中,其中ETF的現貨增持228,301.693 BTC、商業公司增持49,262.068 BTC,從2024/1/30至今(2024/7/3)每天需求量是產出的2.63倍。
接著針對更細部的資料來剖析這些增減持比特幣的商業公司、ETF的概況,在此觀察2024年1月後大量變動比特幣公司為主,圖4-16。

圖4-15、Bitcointreasuries數據(2024/07/03)
Public Company
美國的Microstrategy、Marathon Digital Holdings、Riot Platforms、CleanSpark、Cipher Mining、Bit Digital,加拿大的HIVE Digital Technologies、Bitfarms,及日本的Metaplanet,這些公司近期都有增持比特幣的行動。特別是Microstrategy,自2020年8月11日以來,由該公司CEO邁克爾·J·塞勒(Michael J. Saylor)以公司法人身份持續購買比特幣,至2024年從未停歇。Microstrategy甚至通過發行公司債和可轉換債券的方式進一步增持比特幣。Microstrategy的發債購買比特幣策略,展現將比特幣視為戰略資產的長期投資理念。在2020年首次宣布以2.5億美元購買比特幣後,隨後陸續發行公司債,募集資金以購買更多比特幣。在2021年發行6億美元的可轉換債券、在2022年發行10億美元的公司債、2023年發行7.5億美元的公司債,而在2024年的近期更是發行12億美元的可轉換債券,以進一步擴大其比特幣投資組合。這種積極的購買使Microstrategy成為企業界持有比特幣的標竿,對其他公司產生深遠的影響。
發債購買比特幣的策略,最近也被日本公司Metaplanet效法。在2024年,日圓貶值嚴重,因此以發債購買資產是種保值的方式。日圓貶值主要由於持續的低利率政策、強勢美元、美國的強勢經濟表現使得資本流入美國而升值等,這些因素導致日圓匯率的壓力,而日本央行又不得不阻止匯率的走貶。Metaplanet在這樣經濟背景下,通過發行公司債募集資金購買比特幣,期望以此來對抗日圓貶值帶來的資產縮水風險。
其他增持比特幣的公司,幾乎都是比特幣挖礦公司,這些公司增持的數量推估是挖礦獲取的區塊獎勵扣除成本開支後的淨利。在加密貨幣市場中,比特幣挖礦公司的角色愈加重要。這些公司不僅負責維護區塊鏈網絡的安全,還通過挖礦獲得的比特幣進行財務增持,強化其資產負債表。
觀察2024年的跡象評估後續可能會有越來越多商業公司會效仿Microstrategy模式,接著是挖礦公司極可能在累積資本,準備下輪產量減半前再度擴張規模與排擠掉小型礦商的準備。
Private Company
美元穩定幣發行商Tether Holdings在2023年5月17日宣布將該月的15%淨利(約2.22億美元),作為購買比特幣的儲備資金。並進一步表示將每月15%的淨利用於增持比特幣,還規劃提高黃金、美國國債的儲備比例,以強化資產負債表的多樣性和穩定性。Tether Holdings的這舉措對加密貨幣市場產生重要影響。
- 穩定幣發行商大規模購入比特幣,增加市場對比特幣的需求,進一步推動比特幣價格的上漲。
- Tether持續增加黃金和美債的儲備,表明在增持高風險資產的同時,也在建置穩健的資產配置,以平衡風險。
- 藉由持有比特幣用以效抵抗通貨膨脹、貨幣貶值等問題。
Tether Holdings的購買力提升比特幣需求,且每月持續增持比特幣,市場對比特幣的需求穩步上升,這對比特幣的價格形成強支撐,Tether Holdings也是穩定幣(USDT)發行商,其資產配置策略可能影響其他金融機構和投資者對比特幣的看法和投資行為。Tether的舉動反映對比特幣長期價值的信心,更突顯加密貨幣市場日益增長的成熟度和多樣化投資策略的發展。未來,隨著更多大型機構加入到比特幣的投資行列,比特幣的市場需求和價格可能會持續上升,推動加密貨幣市場進一步擴展和成熟。
Government
2024年主要幾個揭露持有比特幣的國家,如亞洲的中國(China)、歐洲的英國(United Kingdom)、中美的薩爾瓦多(El Salvador)、南亞的不丹(Bhutan)和南美的委內瑞拉(Venezuela)。以下是根據公開資訊對這些國家的比特幣持有情況進行整理和剖析。
美國、英國、中國的比特幣來源主要是通過收繳犯罪所得後,轉為國有。
- 英國政府的比特幣主要通過收繳非法所得,在2021年破獲中國人Jian Wen協助逃犯Zhimin Qian 洗錢,在歐洲購買大量房產、奢侈品等洗錢行為,被英國政府以涉洗錢為由沒收 6.1 萬枚比特幣。
- 中國方面,並無明確的新聞資訊報導中國政府購買或持有多少比特幣,從已知新聞中得知,中國政府在2020年破獲PlusToken平台的資金盤傳銷中,沒收190,000 BTC。除此之外,中國政府在近年來也在掃蕩非法挖礦活動、非法商業公司或個人的犯罪資金中沒收的比特幣數量,沒有具體數據披露,基於這些掃蕩行動的規模,合理推測中國政府持有的比特幣數量可能遠高於19萬枚。後續若有更明確訊息再進行更新。
相比之下,不丹和薩爾瓦多則是通過政府自行開採比特幣來獲得為主。
- 薩爾瓦多在2021年宣布比特幣為法定貨幣後,採取一系列增持比特幣的舉措,如建立比特幣銀行、運用地熱資源進行挖礦、2024年3月16日開始每日定投1枚比特幣等。這些舉措增加薩爾瓦多的比特幣儲備,還提升比特幣在該國人民對比特幣的認知程度。
- 不丹則是國家之力來推動比特幣產業,以最大的國有主權投資機構在境內多年來一直從事比特幣挖礦,利用豐沛的水力發電資源從事挖礦,低廉電力成本,再加上高山氣候的溫度,進一步降低了挖礦成本。這些因素為不丹的加密貨幣挖礦帶來強勁的優勢,吸引許多挖礦企業,如比特大陸(BITMAIN)的子公司比特小鹿(Bitdeer),進行合作洽談。
- 委內瑞拉政府持有比特幣的信息來自bitcointreasuries,但缺乏詳細的資料來源。近期2024年5月20日,委內瑞拉國家電力部(MPPPE)與國家電力公司聯合啟動針對加密貨幣挖礦的特別專案,目的在切斷加密貨幣礦場與國家電力系統的連接,以應對能源危機,並沒收11,000台礦機,尚不清楚是否也沒收挖礦所得。而委內瑞拉本身的經濟狀況非常惡劣,2018年的”每日”通脹率約3.5%,換算整年的通脹率高達1,700,000%。不禁讓當地經濟學家Carlos Hernández感嘆說「當你身處經濟崩盤及財政腐敗的國家,”無國界貨幣”不再只是流行口號而已。」突顯現出在惡性通脹下,比特幣是當地人民對抗通貨膨脹和貨幣貶值的唯一解。
已開發國家或經濟貨幣強勢國家的比特幣主要來源,通常是通過收繳非法所得;開發中國家或經濟貨幣弱勢或腐敗的國家,則面臨著嚴峻的經濟狀況、更為劇烈的匯率波動、通貨膨脹問題,因此更依賴比特幣來保值和對沖風險,並且推動國內人民學習和使用“無國界貨幣”。這些國家之所以採取不同的比特幣策略,如利用該地優勢資源禁行挖礦獲得比特幣、變更法定貨幣為比特幣、提高國民對無國界貨幣的認知等。反映其對加密貨幣的多樣化應用和重要性。
Fund
如圖4-17所示,在比特幣ETF上市後,機構法人、商業公司等主要藉由iShares Bitcoin Trust(IBIT)、Fidelity Wise Origin Bitcoin Fund(FBTC)、ARK 21Shares Bitcoin ETF(ARKB)、Bitwise Bitcoin ETF(BITB)來間接持有,而原先持有Grayscale Bitcoin Trust(GBTC)的機構法人、商業公司等,則是在這時間持續大量賣出,已轉到其他ETF上。
初期傳統法幣的投資者沒有可以合適投資比特幣的管道,只有Grayscale Bitcoin Trust(GBTC)可以選擇,但2021~2023年發生的一連串影響商譽信任的事件,如溢價轉為折價(圖4-9)、公司營運糾紛(Digital Currency Group (DCG)和灰度(Grayscale)反對其子公司Genesis提議出售價值16億美元的GBTC股份等資產,用以償還債權人的糾紛)、限制流動性(轉成ETF前的GBTC投資者無法在封閉基金隨時向贖回股份,導致GBTC股份在二級市場上形成價格與GBTC淨資產價值(NAV)產生顯著差距)、高額手續費(申請ETF的S3文件,由初始2%降至1.5%)等,導致在ETF上市後,客戶的開始持續拋售轉向低費用、高流動性、貼近實際資產價值的商品,如IBIT、FBTC、ARKB等主流ETF,如圖4-14。
從13F的報告中,發現主流持有比特幣ETF為資產管理公司(Aristeia Capital、Graham Capital Management、Ovata Capital Management、Hightower、Fortress Investment Group、Yong Rong Asset Management、Legacy Wealth Asset Management、Monolith Management、Newbridge Financial Services Group)、量化交易公司(Susquehanna International Group)、對沖基金公司(Bracebridge Capital、IvyRock Asset Management)、避險基金(Boothbay Fund Management、Crcm)、投資顧問公司(Cambridge Investment Research、Pine Ridge Advisers、United Capital Management、紅杉金融顧問公司、Integrated Advisors、Brown Advisory)、銀行(Morgan Stanley、South State Bank、The Bank of New York Mellon、BNP Paribas)、家族辦公室(Quattro Financial Advisors)等但不限於此的機構都已經進場,由此看出金融業已經開始嘗試佈局區塊鏈的風險資產,後續增加的規模體量將會是觀察重點。

圖4-17、比特幣現貨ETF淨流量與IBIT、GBTC市占率變化
Chapter 4-4 – 自己如何看待與使用Bitcoin資產
“比特幣”的價值已逐漸被認同為與法定貨幣同等,運用於消費的情況也越來越多被個人和商家接受。比特幣不僅可以用來交易、價值保存與增值,還可用於抵押借款等,這取決於持有者對該資產的看待角度。
人生中的主要消費類別是食、衣、住、行、育、樂,如生活必需品、交通運輸、進修學習、購車、購房、非必需消費品、旅遊和繳稅等。在2024年,這些消費類別都已經可使用數位貨幣,只要交易對方同意接受即可,且越來越多公司推出比特幣閃電支付,讓商家收款變得更快速便捷。Tesla曾推出過比特幣支付購車服務,部分英國房產公司也已接受比特幣支付。這些案例表明,購房、購車和旅遊等消費類別都已經能使用比特幣或其他加密貨幣支付。更值得一提的是,在金融重鎮瑞士,使用加密貨幣繳稅也已成為現實,標誌著加密貨幣進一步融入日常經濟活動。
這一系列的發展推動比特幣的市場需求,顯示出加密貨幣在未來經濟活動中的將具有重要地位。隨著技術的進步和法定貨幣的增發,比特幣和其他加密貨幣的應用場景將會更加廣泛,未來的發展前景無疑是值得期待的。
從個人觀點出發,我將比特幣視為一種交易支付和資產保值工具,並在最大能力範圍內累積儲備比特幣。在人生中的選購商品物件時,當購買物件具備資產屬性,我才會考慮使用比特幣進行支付。隨著全球對加密貨幣接受度的提高,相信比特幣的應用場景將會越來越廣泛,如果比特幣能夠具備類似於動產(如,車輛)和不動產(如,房子)等產權特質,我將會將這種應用融入到生活中。這是我對比特幣或加密貨幣資產的看法。期待未來能看到更多比特幣在不同領域中的創新應用。
後續為付費內容,在此進行概要提及,歡迎購買付費內容
Chapter 5 - BTC循環週期與估算漲跌區間
Chapter 5-1 - 推動BTC價格起伏的AB法則
從「第一性原理」來思考比特幣的本質,在比特幣本身擁有的價值下,剖析推動價格起伏的原因。進行頗析內容前,先行計算出目前供給量、可流動供給量,接著以比特幣本質劃分出A、B兩大因素,再從子項了解推動價格的原因。

BTC現況供應量盤點

BTC的價格驅動因素
Chapter 5-1-1 – 能源生產價格
探討比特幣的能源價格,我從黃金的開採過程對比比特幣生成過程,兩者都需投入大量資源。黃金需經過鑽探、挖掘、提煉等步驟,比特幣則依賴算力、電力和基礎設施。運用比特幣的「能源價值」、「挖礦成本計算」評估比特幣的市場價格及未來走勢。
能源價值部分,引入文獻資料,估算挖礦過程中的能源輸入和比特幣的供應增長率,來計算出目前理論價值為64,448美元/枚左右
挖礦成本計算部分,引入真實建立礦場所需的支出,以台灣成本開銷為基礎,我設計個Excel自動表格,再結合過往的比特幣挖礦經驗,貼近實際狀況的拆解工廠建設、設備、電費、人事等成本。根據一系列計算,硬體設備成本佔X%,電費成本佔Y(81%),人事成本僅佔Z%。電力成本對挖礦成本的影響極為重大。為了應對全球挖礦環境,我引入GlobalPetrolPrices、U.S. Bureau of Labor Statistics, Arcadis等網站的各國和地區的電價、建築成本、人事成本等數據,用來呈現不同國家和地區的用電類別、建築成本及人事成本,按百分比加乘台灣的基數進行換算,以更精確地反映各地區的實際開支。最後,這些數據將被進一步單位化(Unitization),呈現每單位(每TH-每天)的挖礦成本價。
再將最終計算結果,搭配Bitmain的2024年報告指出的出貨量最高的機型(Antminer S19XP、S21),以此推算出目前挖礦成本約在52,000至57,500美元/枚。

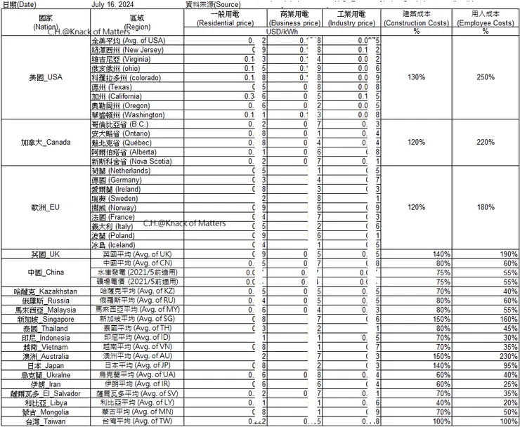
各國地區的電價、建築成本、用人成本比值
Chapter 5-1-2 – AB法則
礦工越來越無控制幣價波動的話語權,並隨著每次產量減半而影響越來越小,在未來的大規模上漲不可能僅由礦工推動。隨著比特幣產量在2032年達到99.2%,預計未來的市場波動性將掌握在”那些群體”。未來一旦共識、應用增加,幣價也會迅速上升。整個比特幣持有分布在這3個產量減半循環後,已經被”那些群體”越囤越多,現在在比特幣幣價6萬美元/枚,如此便宜價格仍沒持有的投資人,屆時到50萬美元/枚時,將更是望塵莫及的價格。

BTC的價格驅動因素

比特幣分布(Bitcoin distribution)(Source: bitinfocharts)
Chapter 5-1-3 – 法定貨幣購買力
貨幣供應量的不斷增加不僅削弱法定貨幣的購買力,還推升整體物價水平的上升,加劇通貨膨脹。對於財商不足的人群來說,他們偏好持有現金作為安全的選擇,但他們未能意識到,這種安全感如同握在手中的冰塊,隨著時間的推移不斷融化;財商充足的人則會充分利用低利率環境,以槓桿手段將手中的現金轉化為能夠增值的資產,如股票、房地產、債券、黃金,甚至比特幣。這些資產不僅能夠保值,還有助於對抗通脹壓力,進一步拉大了貧富差距。同時,美國的債務鐘以實時數據顯示著未來生活正被過度透支,在法定貨幣購買力持續下降的情況下,何種資產才是未來值得長期持有的選擇,值得深思。

美國債務鐘(US Debt Clock)
Chapter 5-2 - BTC循環週期的可複製性與否
這章節要確認比特幣過往至今的走勢,是否存在循環週期的重複性。一旦確認有重複性後,後續就能依照重複性的規律,進行相對應的高點、低點位置辨識與應對操作。
Chapter 5-3 - BTC的漲幅滿足點預估
在循環週期的規律,利用估值模型來估算比特幣的合理價格區間、合理時間段的方式,並考慮投資者的行為和情緒,以判斷最佳的進出場點位。個人評估研究後,主要採用的四種模型,推估比特幣價格在合理漲跌幅段的時間、價格空間的區間。並依照實際狀況考慮政治、經濟、投資群體的行為與情緒的綜合,並在牛市/熊市階段提供4~6種的輔助判斷的訊號,提高判別準確性。

以估值模型與數據辨識BTC循環週期及高低點價位
Chapter 5-4 - BTC的跌幅滿足點預估
這邊計算挖礦成本價是將個150坪地,從硬體建設成本(地成本、建工廠、配電、部屬礦機、冷氣)、電費成本(礦機、冷氣、其他的電費)、人事成本等,整個所有成本開銷拆解。再計算出工廠可以架設多少礦機,並產出多少比特幣(收益)。最終等效成每算力單位-每度電-每天的成本價。為了可以對應到全球各個有在比特挖礦的國家的挖礦成本,蒐集電費、建築成本、人事成本的數據,再將台灣的數據做為基數,引入乘數來貼近各個國家地區的合適價格。以此輸入不同條件就能自動計算出任何一個礦機機型、在任何地方的挖礦成本價。
目前(2024/7)的主流礦機成本價約在52,000~57,500美元/枚,這價格之下都是無風險套利。這個成本價計算最佳運用時間點,就是拿來計算比特幣熊市的下跌跌幅點,當價格跌落這個成本價時,再搭配其他輔助判斷的訊號,就能決策初最佳布局時間點。
Chapter 6 - BTC的後續發展想法
這章節提及自己對於比特幣後續發展的看法,與正在變化的局勢,有些規律內容可能正在轉變的想法。
隨著2024年的產量減半後,比特幣挖出量接近總供應量的96.8%,到了2032年則會達到總供應量的99.2%,由此,礦工對比特幣價格波動的影響正在逐漸減弱,礦工難以像早期那樣,通過大規模拋售或囤積來影響市場價格。對於比特幣的未來發展,我提出些觀點與看法。

比特幣供給量曲線
Chapter 7 – 結論
總結整個文章的內容。
備註
1. 通貨膨脹率(Inflation Rate)
通貨膨脹率的計算方式是一定時間內,特定一籃子商品和服務的平均價格水平變化的百分比。這個一籃子商品和服務通常由消費者物價指數(CPI)或生產者物價指數(PPI)表示。通貨膨脹率通常按月或按年計算,計算公式如下:

主要有三種影響因素推動通貨膨脹:
- 需求拉動通貨膨脹(Demand-pull inflation):當需求增長快於供應時,導致物價上漲。
- 成本推動通貨膨脹(Cost-push inflation):當生產成本增加(如原材料價格上漲、工資上升)時,企業將增加的成本轉嫁給消費者,導致物價上漲。
- 貨幣供應量增加通貨膨脹(Built-in inflation):當央行增加貨幣供應量時,市場上的貨幣增加,導致物價上漲。
2. 共識機制的工作量證明(Proof of Work,PoW)
工作量證明(Proof of Work,PoW)是種基於計算能力的共識機制。它要求網絡中的參與者(又稱礦工)進行大量的計算工作來尋找隨機數,以求解哈希值(又稱為挖礦),求解難題答案的過程保證網絡的安全性和數據的不可篡改性。
工作量證明(PoW)的工作流程
- 尋找隨機數求解哈希值:礦工需要找到一個隨機數(nonce),使得這個隨機數與區塊中的數據一起經過SHA-256雜湊運算(Hashing)後滿足特定條件(如,哈希值前面有若干個零),生成雜湊值或哈希值(Block Hash/Hash Value/Hash)。這個過程需要進行大量計算找到一個隨機數。
- 競爭解題:所有礦工同時競爭解決這個數學難題。第一個找到滿足條件的礦工將該區塊提交到比特幣網絡,並得到一定數量的比特幣作為獎勵,稱為區塊獎勵。
- 驗證和共識:其他礦工驗證這個解決方案的正確性。如果大多數礦工確認該解決方案是正確的,這個區塊將被添加到區塊鏈中,同時也將這個區塊時間範圍內的所有交易記錄寫入區塊中。由於這個過程需要大量的計算資源和時間,保證區塊鏈的安全性和數據的不可篡改性。
3. 比特幣的公鑰(Public Key)與私鑰(Private Key)關係
在開始使用比特幣時,必定會持有一個比特幣地址(Bitcoin Address),這個地址是由公鑰和私鑰生成的,在接受比特幣資產時,又會牽涉到私鑰(Private Key)。為了方便用戶備份和管理私鑰,加密貨幣錢包會將私鑰轉換成註記詞(Mnemonic Phrase)。這個過程的關鍵名詞,如比特幣地址(Bitcoin Address)、公鑰(Public Key)、私鑰(Private Key)、註記詞(Mnemonic Phrase)。以下介紹其關鍵名詞的關連與運作架構。
- 私鑰(Private Key):私鑰是生成比特幣地址的核心,這是隨機生成256個二進制位(bits)數字,用以證明用戶對其比特幣的擁有權。因此,私鑰必須保密,任何持有私鑰的人都能完全控制對應的比特幣。
- 註記詞(Mnemonic Phrase):私鑰由256個二進制位(bits)數字組成,過於繁瑣且難記憶,因此衍生成一組簡單的單詞,方便用戶記住和備份私鑰,這組單詞稱為註記詞。
- 公鑰(Public Key):將私鑰通過橢圓曲線數字簽名演算法(ECDSA)生成公鑰,這過程是單向計算生成,只能從私鑰生成公鑰,無法從公鑰反推算出私鑰。因此,公鑰的公開並不會暴露私鑰的安全性。
- 比特幣地址(Bitcoin Address):生成比特幣地址的步驟為:生成私鑰→計算公鑰→雜湊運算→添加版本前綴→生成校驗碼。
將私鑰生成公鑰後,使用SHA-256雜湊演算法計算生成256個二進制位(bits)組成的雜湊值/哈希值(Hash Value),256位二進制位哈希值使用RIPEMD-160雜湊演算法生成一個短哈希值。在短哈希值前面添加一個版本字節,如0x00作為比特幣地址的表示。隨後對包含版本字節的哈希值再進行兩次哈希運算,並取前4個位元作為校驗碼。將校驗碼附加到包含版本字節的哈希值後,並使用Base58編碼生成最終的比特幣地址。簡言之,比特幣地址是從公鑰經過一系列雜湊運算生成的字符串,是用來接收比特幣的唯一標識符。
- 註記詞(Mnemonic Phrase)生成的步驟為:隨機數生成→生成熵(Entropy)→增加校驗碼→分割為多個片段→對應詞表。
- 隨機數生成:生成128個/160個/256個二進制的隨機數,這隨機數是生成私鑰的基礎。
- 生成熵(Entropy):這個隨機數(熵)的長度通常為128位(表示12個詞的註記詞)或256位(表示24個詞的註記詞)。
- 增加校驗碼:對隨機數(熵)進行SHA-256哈希運算,並將哈希結果的前幾個位數作為校驗碼添加到隨機數(熵)的末尾。如,128個隨機數(熵)增加4位校驗碼,形成132位長度的序列。
- 分割為多個片段:將這個132位或264位序列分成若干個片段,每個片段長度為11位,代表指數位,如2^11 = 2048,可以對應2048個單詞。
- 對應詞表:每個11位片段對應一個詞表中的單詞。這個詞表是由2048個常見單詞組成,稱為BIP-39詞表。每個片段對應詞表中的一個單詞,形成一組註記詞。
4. 雜湊率/哈希率(Hash rate)
指運算設備在比特幣挖礦過程中每秒鐘能夠執行的雜湊運算次數,而雜湊運算是通過Secure Hash Algorithm 256-bit (SHA-256)的加密雜湊函數演算法來完成的,將輸入的資料轉換成一個256位元的固定長度字串(雜湊值)。哈希率通常以每秒哈希次数来表示,如H/s、kH/s、MH/s、GH/s、TH/s、PH/s、ZH/s等。哈希率(Hash rate)有三個重要意義
- 衡量挖礦能力:哈希率是衡量挖礦設備計算能力的重要指標。哈希率越高,設備在給定時間內嘗試解決工作量證明問題的次數越多,從而提高成功挖出新區塊的概率。
- 網路安全性:比特幣網路的總哈希率越高,表示網路整體算力越強大,提高抵禦51%攻擊的能力(當某個實體控制了超過50%的總雜湊率時,可以篡改區塊鏈的歷史記錄)。
- 挖礦難度:比特幣網路會根據總哈希率調整挖礦難度,保持平均每10分鐘生成一個區塊。哈希率增加,網路難度也會增加;反之亦然。
5. 鯨魚大戶:
無論是個人或公司,這用戶持有至少1,000~10,000枚或以上比特幣的所有者,但不包含挖礦公司、交易所所控制的地址,這些群體會被統稱為「鯨魚」。
6. Bitcoin Stock to Flow Model (S2F Model)
(1、S2F (Stock-to-Flow) 模型是一種用來計算稀缺資產價值的方法,該模型特別適用於像黃金、白銀和比特幣這樣的稀缺資產。S2F模型的概念是比較現有市場總供應量(存量)與每年新增供應量(流量)來衡量稀缺性,並將此稀缺性與市場價值掛鉤。
(2、比特幣的總供應量(2100萬枚)是固定的,通過每四年的“產量減半”機制,新增供應量會減少一半,這使得S2F比率會增加一倍,表明它的稀缺性會逐步增強。
(3、S2F模型的公式計算
- 供給側的存量與流量比率: S2F = Stock/Flow=目前市場已挖出的總供應量/每年會挖出的新增供應量
- S2F模型預測資產價格公式 log(BTC Price)=α+β×log(S2F)
其中,α和 β是通過歷史數據回歸得到的常數。
(4、S2F模型的限制
- 供需之外的市場因素:S2F模型僅考慮供給面的稀缺性,而無法考慮到需求面的波動性,這導致其預測結果跟實際狀況下會有差距,可能不準確。
- 外部影響:如政策變化、宏觀經濟、技術變革、應用擴大等,都會影響比特幣的需求,從而使S2F模型的預測會出現偏差值。
- 比特幣市場的成熟度:隨著市場的不斷成熟,機構投資者和ETF等新型資產的參與,可能會改變比特幣價格的波動性,進而影響 S2F 模型的有效性。
7. Bitcoin Stock-to-Flow Cross Asset Model (S2FX)
(1、這麼模型以S2F為基礎進行延伸,引入「相變理論(Phase Transitions)」和「跨資產比較」。
(2、「相變理論(Phase Transitions)」則表示,比特幣從初期的”概念證明”,在共識擴大後形成”支付系統”,並逐步被認為與黃金有相同屬性的”數位黃金”,接著被傳統金融作為證券而發行的比特幣現貨ETF、會計準則的認列、被認定是戰略儲備、資產儲備的”金融資產”階段。這些階段的推移都將擴大比特需求與應用。
(3、「跨資產比較」則表示,將比特幣與黃金、白銀等稀缺資產的S2F值進行比較,建立一個跨資產的數學模型。這些稀缺資產的市值和S2F值分別表示市場對其稀缺性的定價,S2FX模型預測比特幣未來可能達到的市值和價格。
(4、S2FX模型與S2F相同,僅能針對供給側的資產估值。但對於實際市場狀況的變化,仍會產生偏差。
參考文獻
1. 美國三大財政巨頭親揭2008金融危機拯救貝爾斯登銀行內幕,https://reading.udn.com/read/story/122749/7372803
2. 雷曼兄弟,https://reurl.cc/Eje65m
3. 美國次貸危機時間表,https://reurl.cc/4rndV3
4. 全球金融危機的衝擊與因應,https://web.wtocenter.org.tw/file/newsletter/OrderNewsletter/wtoepaper/article136.htm
5. Chart of the Decade: AIG and the Lesson of the Long View,https://www.wsj.com/articles/chart-of-the-decade-aig-and-the-lesson-of-the-long-view-1410720312
6. View United States's United States US: Money Supply: Currency Issued by Central Government from 2001 to 2017,https://www.ceicdata.com/en/united-states/money-supply-annual
7. Visualizing the Buying Power of the U.S. Dollar Over the Last Century,https://www.visualcapitalist.com/buying-power-us-dollar-century/
8. United States Money Supply M2,https://tradingeconomics.com/united-states/money-supply-m2
9. 比特幣:端對端電子現金系統(Bitcoin: A Peer-to-Peer Electronic Cash System),https://bitcoin.org/bitcoin.pdf
10. 《比特幣:端對端電子現金系統》(Bitcoin: A Peer-to-Peer Electronic Cash System)I,https://reurl.cc/Wx7Opk
11. 《比特幣:端對端電子現金系統》(Bitcoin: A Peer-to-Peer Electronic Cash System)II,https://reurl.cc/0vRWYM
12. Vol.112 區塊鏈到底是什麼?,https://youtu.be/TVlo66aOZE0?si=i7bBiigSgZ-x-pgg
13. The New and Renewed Bitcoin Narrative,https://www.cmcc.vc/insights/the-new-and-renewed-bitcoin-narrative
14. First Mover: Dull Bitcoin Halving Salvaged by Satoshi Tribute in Block 629,999,https://www.coindesk.com/markets/2020/05/12/first-mover-dull-bitcoin-halving-salvaged-by-satoshi-tribute-in-block-629999/
15. 肺炎疫情:美聯儲緊急降息至零利率「一次性打完所有彈藥」,https://www.bbc.com/zhongwen/trad/business-51906250
16. 4E平臺:1分鐘瞭解2024年比特幣減半,https://www.coinlive.com/zh/news/4e-platform-learn-about-the-2024-bitcoin-halving-in-1
17. 懷舊時光機 舊鈔4萬換1元新台幣,https://youtu.be/B3mgVn-hXRE?si=AvJrSOnHHeO13FkX
18. [歷史照片]1923 年德國超級通脹︰2000 億馬克買一個麵包的時代,https://reurl.cc/qV2rqE
19. 一場“擠兌”引發的思考,http://news.cn/fortune/xhcy53.htm
20. 擠兌潮?中國銀行抖出黑幕 中南海火速進駐這3地,https://ec.ltn.com.tw/article/breakingnews/3979271
21. 中國擠兌不單純 恐爆大醜聞,https://ec.ltn.com.tw/article/breakingnews/3973428
22. Long lines at Russia’s ATMs as bank run begins — with more pain to come,
23. https://www.cnbc.com/2022/02/28/long-lines-at-russias-atms-as-bank-run-begins-ruble-hit-by-sanctions.html
24. Ukrainians and Russians are packing ATM lines, prompting fears of what happened in the US during the Great Depression,https://www.businessinsider.com/ukraine-russia-bank-runs-great-depression-stock-market-sanctions-deflation-2022-2
25. 矽谷銀行擠兌危機映射出的新變化,https://opinion.caixin.com/2023-03-14/102007880.html
26. 擠兌,https://zh.wikipedia.org/zh-tw/%E6%93%A0%E6%8F%90
27. 就怕當了韭菜!「中華商銀」3天提領430.8億! 台灣最嚴重的擠兌事件之一,
28. Plague, famine, bank runs: Even centuries ago, financial institutions met the same fate as Credit Suisse,https://www.nzz.ch/english/as-old-as-banks-themselves-a-look-through-the-history-of-bank-runs-ld.1756398
29. Bank runs in the digital era,https://www.ft.com/content/6cc88845-82a3-3bd3-8cba-c586af25b657
30. A History of Bank Runs -- New York Magazine – Nymag,https://nymag.com/news/intelligencer/topic/banks-2012-6/
31. New York - Bank Run, 1930 Photograph by Granger - Fine Art America,https://fineartamerica.com/featured/new-york-bank-run-1930-granger.html
32. Ukrainian refugee flees to Poland with $2,000 in bitcoin on a USB drive,https://www.cnbc.com/2022/03/23/ukrainian-flees-to-poland-with-2000-in-bitcoin-on-usb-drive.html
33. 帶著一支 USB 和 2 千美元的比特幣,烏克蘭男子逃出生天,https://blockcast.it/2022/03/25/ukrainian-refugee-took-a-usb-stick-with-him-across-the-border-containing-2000usd-in-bitcoin/
34. 電子錢包系列專文一: 【金融名詞小百科】-電子錢包,https://www.mypay.com.tw/main_article2.html
35. 台灣行動支付大比拼:Line Pay、街口支付、Apple Pay|大和有話說,https://reurl.cc/NQgO5x
36. 擴大電子支付 帶來4大面向價值,https://www.cmmedia.com.tw/home/articles/3392
37. 比特幣戰爭(上):中國操盤手,https://cn.nytimes.com/business/20160630/china-bitcoin-investiment1/
38. 比特幣戰爭(下):從投機到掌控大型礦池,https://cn.nytimes.com/business/20160701/bitcoin-china-part2/zh-hant/
39. 美股於比特幣飆升後有什麼機會?關注這三隻BTC礦商股,https://hk.investing.com/analysis/article-107917
40. 從重金收購到業務轉型:礦企怎樣應對BTC減半後的新挑戰?,https://m.cnyes.com/news/id/5604164
41. 「挖礦」刺激GPU和ASIC銷售暴漲,為何還有利於人工智慧的發展?丨科技雲·視角,https://cloud.tencent.com/developer/article/1981779
42. 區塊鏈架構與擴容方案:一文帶你深入了解區塊鏈架構,https://zombit.info/blockchain-architecture/
43. 區塊鏈的 Layer 是什麼?L1-4 差異與應用範例介紹,https://www.rayskyinvest.com/57558/layer-intro
44. 像理解網路模型一樣理解區塊鏈,https://111hunter.github.io/2022-06-05-blockchain-2/
45. bitcoinmerch,https://bitcoinmerch.com/
46. glassnode,https://reurl.cc/qVAvXE
47. hashrateindex,https://hashrateindex.com/hashrate/pools
48. 大陸比特幣礦工如今都遷移到哪裡去了?,https://hao.cnyes.com/post/69394
49. Bitcoin’s 4th Halving,https://coinmetrics.substack.com/p/state-of-the-network-issue-255
50. Bitcoin's Halving Aftermath,https://coinmetrics.substack.com/p/state-of-the-network-issue-259
51. 台北市可用比特幣買房?屋主:200比特幣有找,https://www.businesstoday.com.tw/article/category/80392/post/201802060006/
52. 比特幣買房》桃園龜山透天開價「18顆BTC有找」!屋主也收ETH、USDT,https://www.blocktempo.com/taiwan-taoyuan-real-estate-selling-accept-bitcoin/
53. 6顆比特幣買房》中壢車站大坪數美宅求售,年輕屋主:BTC、ETH是優質資產,https://www.blocktempo.com/bitcoin-for-property-mr-meng-sells-taoyuan-real-estate-for-btc/
54. 加密貨幣走入大眾生活!瑞士盧加諾市宣布:接受以 BTC 、 USDT 繳稅,https://blockcast.it/2023/12/07/swiss-city-lugano-accepts-the-payment-of-taxes-and-other-municipal-services-in-btc-and-usdt/
55. 瑞士盧加諾市擴展加密支付:BTC、USDT能支付稅收、所有發票,https://abmedia.io/lugano-now-accepts-btc-and-usdt
56. 瑞士加密支付好流行!盧加諾超過15%市民用穩定幣日常消費,https://www.blocktempo.com/lugano-embraces-cryptocurrencies-in-a-big-way/
57. 加密之城》瑞士盧加諾「從麥當勞到百年餐館」都支持BTC支付,還能比特幣繳稅,https://www.blocktempo.com/more-than-350-stores-in-lugano-switzerland-support-bitcoin-payments/
58. BTC、ETH可買法拉利跑車,Ferrari:接受歐美虛擬貨幣支付,滿足加密富豪需求,https://www.blocktempo.com/ferrari-will-launch-cryptocurrency-payments-in-europe-supporting-bitcoin-purchases-of-supercars/
59. Grayscale Bitcoin Trust ETF,https://ycharts.com/companies/GBTC/discount_or_premium_to_nav
60. S-1 Document iSHARES® BITCOIN TRUST,https://reurl.cc/RqMGqe
61. Coinbase獨佔8家比特幣現貨ETF託管,若「被駭」會發生什麼災難?,https://www.blocktempo.com/will-coinbase-compensate-if-bitcoins-held-by-bitcoin-spot-etfs-are-stolen/
62. 企業持幣大利好?美國首個加密會計新則:按公允價值反映持幣損益,https://abmedia.io/first-us-crypto-accounting-rules
63. Intangibles—Goodwill and Other—Crypto Assets (Subtopic 350-60),https://aboutblaw.com/bbR6
64. 加密貨幣之會計政策彙整-以國外上市公司為例,https://www.crowe.com/tw/insights/insight-article_1120106
65. 科普 | 散戶可以在哪裡追蹤比特幣ETF價格?,https://news.cnyes.com/news/id/5431176
66. 貝萊德比特幣ETF推出5個月資產達200億美元 美國最快,https://news.cnyes.com/news/id/5587921
67. 逾四百個 13F 報告持有貝萊德 IBIT,Morgan Stanley持有近 2.7 億GBTC,https://abmedia.io/there-are-414-13f-report-holders-for-ibit4
68. 美國機構持倉報告出爐:速覽哪些金融巨鱷已入場比特幣 ETF?,https://www.blocktempo.com/institutional-bitcoin-position-data-report/
69. Bitwise投資長:當前估有700家機構持倉比特幣現貨ETF,規模50億美元…這僅是開胃菜,https://www.blocktempo.com/matt-hougan-sees-huge-potential-in-the-bitcoin-spot-etf-market/
70. 海納國際出手押注!一口氣買 10 檔比特幣現貨 ETF,持有規模達 13 億美元,https://blockcast.it/2024/05/08/susquehanna-discloses-over-1-3-billion-in-bitcoin-spot-etf-holdings/
71. 盤點38家持有比特幣的上市公司:有人虧損2,000萬美元有人收益127倍,https://m.cls.cn/detail/909873
72. 大摩成GBTC最大持有者!今年首季砸2.7億美元投資比特幣現貨ETF,https://news.cnyes.com/news/id/5564904
73. MicroStrategy 最新持倉曝光!這些中國上市公司也大膽押注加密資產,https://blockcast.it/2023/08/15/chinese-companies-that-purchased-bitcoin/
74. 上市公司買比特幣帳面勁賺4億 博雅互動預告添食 今再升30%、三日累升1.4倍,https://reurl.cc/OMKZW7
75. 實德環球看好比特幣 待價穩再買,https://www.tkww.hk/epaper/view/newsDetail/1403422978900889600.html
76. Eric Balchunas@X,https://x.com/EricBalchunas/status/1791079436953022885
77. bitcointreasuries.net,https://bitcointreasuries.net/
78. WHO OWNS ALL THE BITCOIN?,https://reurl.cc/xarbqb
79. 比特幣現貨淨流入,https://sosovalue.xyz/tc/dashboard/Total_Crypto_Spot_ETF_Fund_Flow
80. BlackRock (IBIT)每日淨流入,https://sosovalue.xyz/tc/bigChart/Etf_NASDAQ_IBIT?title=BlackRock%20(IBIT)&coin=BTC
81. The gold 10T market cap came around due to inflation hedging and not industrial use, remainder for the year would be very interesting for crypto with a falling BTC dominance.,https://9gag.com/gag/aAGB9mp
82. Global Gold Market Capitalization Hits US$ 15 Trillion in March 2024,https://posts.voronoiapp.com/markets/Global-Gold-Market-Capitalization-Hits-US-15-Trillion-in-March-2024-809
83. HODL15Capital@X,https://x.com/HODL15Capital/status/1804706507310715313
84. HODL15Capital@X,https://twitter.com/HODL15Capital/status/1804683446997913750/photo/1
85. SoSoValue Spot Bitcoin ETF Flows,https://sosovalue.xyz/tc/dashboard/Total_Crypto_Spot_ETF_Fund_Flow
86. SoSoValue BlackRock (IBIT),https://sosovalue.xyz/tc/bigChart/Etf_NASDAQ_IBIT?title=BlackRock%20(IBIT)&coin=BTC
87. SoSoValue Grayscale Investments(GBTC),https://sosovalue.xyz/tc/bigChart/Etf_NYSE_GBTC?title=Grayscale%20Investments(GBTC)&coin=BTC
88. Spot Bitcoin ETF Flows,https://www.theblock.co/data/crypto-markets/bitcoin-etf/spot-bitcoin-etf-flows
89. Tether will allocate up to 15% of profits to buy bitcoin,https://btcbit.net/news/tether_will_allocate_up_to_15_percents_of_profits_to_buy_bitcoin/
90. Tether Reportedly Bought 8.9K Bitcoin for $380M, Remaining 11th-Largest BTC Holder,https://www.coindesk.com/markets/2024/01/18/tether-purchased-another-89k-bitcoin-for-380m-remaining-11th-largest-btc-holder/
91. Did you know? The Chinese government is the second-largest Bitcoin holder,https://www.cryptopolitan.com/chinese-government-holds-bitcoin/
92. 不爲人知的另一面!原來中國從未完全禁止加密貨幣,https://hk.investing.com/news/cryptocurrency-news/article-455508
93. 突發重磅宣佈!中國偵破全國「加密貨幣第一案」 涉案流水4000億元待沒收,https://hk.investing.com/news/economic-indicators/article-357702
94. 比特幣國家持有量排名:美國以21萬枚居冠!中國居次,第三名出乎意料…,https://www.blocktempo.com/countries-holding-the-most-bitcoins/
95. 中國是比特幣巨鯨!禁令下的真相:國庫持75億美元加密資產、仍有3000萬活躍用戶,https://hk.investing.com/news/economic-indicators/article-320431
96. Bitcoin worth £1.4bn seized after ex-takeaway worker tried to buy £23m mansion, court hears,https://reurl.cc/NQ7mRm
97. 英籍華裔擁6.1萬枚比特幣 助中國詐騙犯洗錢罪成,https://www.rfa.org/cantonese/news/uk-chinese-03252024125444.html
98. 薩爾瓦多已開採 473 枚 BTC,比特幣投資總額達 3.56 億美元,https://abmedia.io/el-salvador-mined-473-btc
99. 又有新狂舉!薩爾瓦多成立比特幣銀行,狂總統布格磊投資比特幣暴賺的非典型經濟策略,https://reurl.cc/aqWm57
100. 薩爾瓦多靠火山地熱3年挖出474枚比特幣,真的每日定投BTC,https://www.blocktempo.com/el-salvador-mined-nearly-474-bitcoins/
101. 無懼市場疲軟行情!薩爾瓦多堅持 DCA 購買計劃,一天買一顆比特幣,https://zombit.info/el-salvador-bitcoin-dca-strategy/
102. 「最幸福國家」不丹秘密開挖比特幣!價值5,000美元時入場挖礦至今,https://www.blocktempo.com/bhutan-mining-bitcoin-for-years-since-btc-was-5000/
103. 「比特幣救了我們一家人」 一位委內瑞拉國民的真實自白,https://www.blocktempo.com/bitcoin-saved-my-family-venezuela/
104. 罕見扣押超過11000臺礦機!華人礦商注意:委內瑞拉已禁止向比特幣挖礦供電,https://hk.investing.com/news/cryptocurrency-news/article-531907
105. Bitcoin Has Saved My Family,https://reurl.cc/1v5ArG
106. 比特幣現貨 ETF「手續費價格戰」開打!灰度調降至 1.5% 仍最貴,https://blockcast.it/2024/01/09/us-potential-bitcoin-etf-providers-reveal-fees/
文章聲明
非經取得作者授權,不得任意轉載或公開傳輸。
免責聲明
本資料僅做為個人研究紀錄用並不構成任何投資意見,亦不應被視為任何投資或贖回的招引。投資附帶風險,過往業績並非未來表現的指標。在進行投資決策時,務必自行審慎評估,並自負投資風險及盈虧,如依本文章提供的資料使交易致生損失,本人不負擔任何賠償及法律責任。
本文所引用的新聞內容和圖片,均來自於公開新聞報導,僅作為歷史文獻記錄之用,並不代表本人個人的立場或意見。所有資訊均源自於新聞媒體的報導,並非本人對事件的直接觀點。本文內容旨在提供參考和促進學術探討,並無意涉及任何政治立場或引發爭議。如有任何疑問或異議,建議參考原始新聞報導及其來源。




























