2.0 上古漢語的特殊結構

- 2.1 若干問題的澄清
- 2.2 虛字
- 2.3 之乎者也 — 也 (矣﹑焉)
- 2.4 之乎者也 — 者
- 2.5之乎者也 — 乎
六
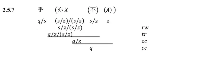
至此,如果我們採用前面 Fu1 - Fu8 的策略,視為問句,解析和推導並無難度﹕
在上古漢語裡,諸如「亦樂」﹑「亦可」﹑「亦君子」的說法亦似乎說得通,即「A,亦 X (也)」也是合乎上古漢語語法的。這需要漢語語言學者再加論證和判斷。姑勿論結果如何,把「亦 X」視為一個成份或合式字符串應該是一個安全的處理。
因此﹕

推導如下﹕

我們暫時不能確定「A」的語構型。
「A」可以是個動名詞 (vn: verbal noun)﹕「學而時習之」(Fu9),「仁以為己任」(Fu11),「死而后已」(Fu11),「求劍若此」(Fu14)﹔
可以是名詞短語 (np: noun phrase)﹕「有朋自遠方來」(Fu9)﹔
可以是句子 (s: sentence)﹕「有朋自遠方來」(Fu9)﹔「人不知而不慍」(Fu9)﹔「居敬而行簡,以臨其民」(Fu10)﹔「而彭祖乃今以久特聞,眾人匹之」(Fu12)﹔「且也,彼其所保,與眾異,以義譽之」(Fu13)。
如要指派語構型,第一個情況是 vn,第二個情況是 np,第三個情況是 s。按此觀察,「A」的語構型是多變的。但我們同時注意到一點,「A」似乎只能屬於基本型而不可能屬於函子型。這需求證於語言學家。但無論 z 是什麼均不會影嚮 2.5.7 的解析和推導。
__________
待續



















