2.0 上古漢語的特殊結構

- 2.1 若干問題的澄清
- 2.2 虛字
- 2.3 之乎者也 — 也 (矣﹑焉)
- 2.4 之乎者也 — 者
- 2.5之乎者也 — 乎
- 2.6 之乎者也 — 之
二
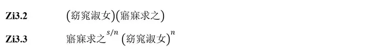
《詩經》裡使用了大量的「之」字,除了用作指代詞之外,用作第三人稱代詞的也很多。下有一例,另一例來自《墨子》,再另一例來自《周易》。Zi3 參差荇菜,左右流之﹔窈窕淑女,寤寐求之。(詩經國風周南關雎)
Zi4 北方有侮臣者,願借子殺。(墨子卷十三公輸篇)
Zi5 子曰:「小人不恥不仁,不畏不義,不見利不勸,不威不懲,小懲而大誡,此小人之福也易曰:『履校滅趾,无咎,此之謂也』。」(周易繫辭下)
第一個例句看似簡單,但還是暗藏「反常」結構。
進行一階成份劃分是沒有問題的,如下﹕

[現代漢語翻譯﹕(荇菜長短不齊,從左右流過﹔) 美貌的女子,令人日夜思慕。]

但進入二階解析便出現一個嚴重的問題。我們認為 Zi3 是一個被動語態句式。
由於上古漢語有省略主語的習慣,因此很多主動語態句式與被動語態句式變得很相似,加上漢語沒有屈折變化,因而缺乏用作表示語詞語構功能的指標,這些因素共同造成一個現象,就是各類句式易於混淆。
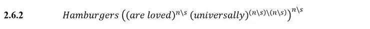
事實上,沒有證據顯示上古漢語的使用者明確意識到主動語態句式和被動語態句式的區別。譬如英語句

(直譯被動語態: 漢堡包為世人所愛﹔但漢語的習慣則會以主動語態為常例﹕世人/全世界都愛(吃)漢堡包)。
原句也可寫作

結構頗為清晰。「universally」屬副詞,故其語構型是 (n\s)\(n\s)。我們認為「窈窕淑女寤寐求之」具有相同的結構,但 Zi3 的結構單調而無指標性特徵。
英語例句與漢語例句兩者的進一步比較顯示「求」字的語構功能類同「is loved」,具有不及物動詞的語構型,是個一元函子,而「寤寐」則用來修飾「求」字,因此是個副詞。已知的是,「之」字是一個以名構名函子,需要一個名詞性質的論元。這是我們的解析策略。
最後的障礙是「寤寐求之」這類四字串的處理。我
們再次提出一個半新不舊的觀點,類似前述「知」字﹑「所以」﹑「有」字﹑「而」字﹑「雖」字﹑「不」字等的處理。凡有四字串 (所謂成語),按副詞+動詞序列,不作前後項倒置操作。
這個觀點並非空穴來風。
上古漢語有四字串,不按副詞+動詞序列,而是按動詞+副詞序列,譬如﹕

有趣的是,一級成份劃分後,倒置前後項便變回副詞+動詞的排列次序﹕

這個語構型的排列次序使我們的單向推導變得輕鬆容易。原因很簡單。在我們的語構系統裏,上古漢語中的副詞與動詞之間,副詞是主函子。
如要再往終端符解析,便出現一個情況,就是不倒置前後項﹕

__________
待續



















