2.0 上古漢語的特殊結構

- 2.1 若干問題的澄清
- 2.2 虛字
- 2.3 之乎者也 — 也 (矣﹑焉)
- 2.4 之乎者也 — 者
- 2.5之乎者也 — 乎
- 2.6 之乎者也 — 之
八
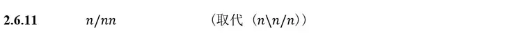
先不談上古漢語的動詞,就「之」字的所謂助詞用法而言,它的語構習性與英語的動詞十分近似。按 Zi6.2 的分析,「之」字是一個需要兩個屬 n 的論元來滿足的函子,唯一要區別的是這個函子是同時取兩個 n,還是先取一個右 n,再取一個左 n,或先取一個左 n,再取一個右 n。
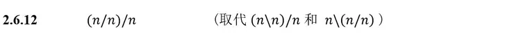
由於我們一直把上古漢語原語序結構歸納入一個單向系統之內,上述的三個情況可化約為兩個語構型﹕

及

2.6.11 和 2.6.12 之間,我們排除 2.6.11,原因如前述,上古漢語語構沒有二元函子的觀念,其所呈現出來的思考方式屬單元函子型的單向系統,因此我們認為 2.6.11 不是「之」字的最佳詮釋。
如採用 2.6.12,我們用不著亦不需要對等規則 。
有了這個背景,我們可以對 Zi6 進行各階解析和推導﹕


需要略為解釋的有兩點。
第一點,執行一階成份劃分後,後項「甚於防川」的各階成份都不作倒置處理。
第二點,「防川」及「防民之口」的「防」字明顯用作動詞,而「防川」及「防民之口」則是動詞性名詞,有點像英語語法中由不定詞 (infinitive) 或動名詞 (gerund) 形成的名詞類字符串﹔所以我們賦予「防川」和「防民之口」語構型 vn,即動詞性名詞。
這時我們見到「之」字的代詞用法屬語構型 n/n,而「之」字的助詞用法則屬 (n/n)/n。
__________
待續



















