簡介
顧名思義,「合作賽局理論」(Cooperative Game Theory)應該是「賽局理論」(Game Theory)中的一個主題,與「非合作賽局理論」相對。
而當人們談到「賽局理論」時,必定會出現的一個經典案例就是 囚徒困境(Prisoner’s Dilemma),這是非合作博弈中的經典案例。
假設在囚徒困境中的兩名嫌疑犯能「簽訂可執行的協議」並共同保持緘默,便能雙雙獲釋;然而在隔離偵訊下,他們無法信任對方不會背叛,各自理性盤算後都選擇招供,最終結果是兩人都被判刑。
這個例子說明:在缺乏可執行合約的非合作情境下,玩家可能作出對自己當下最有利的策略,卻造成整體效益不佳。若能「允許囚犯之間真正合作」,使承諾具有約束力,或許就能避免這種兩敗俱傷的結局(當然從社會正義上兩個都被逮捕是好事是吧😀)。
我們所介紹的「合作博弈理論」就是藉由玩家之間的合作機制,使得他們能夠簽訂具有約束力的協議,並協調如何分配整體合作所產生的效益。藉此,玩家不再各自為政,而是考慮組成聯盟以追求更大的共同利益,同時透過公平且穩定的分配方式,確保所有成員都願意留在聯盟中,避免有人中途退盟或另起爐灶。
潛在的應用場景
區塊鏈治理:礦工或節點可能組成聯盟,共同維護網路並分享挖礦收益或治理權。
企業合併:企業組成策略聯盟、合併或收購,如何分配利潤、決策權或資源。
政治聯盟:政黨或政治人物組成執政聯盟,協商政策或席次分配。
特徵函數遊戲 Characteristic Function Game
我們需要使用數學模型來建構出「合作賽局」,而最常見的就是「特徵函數遊戲(Characteristic Function Game)」這個建模方式。
但在進入抽象的數學描述前,我們不妨從一個合資購物的例子出發,並思考看看一個「合作賽局」需要哪些元素。透過此案例,我們將觀察哪些因素會影響聯盟形成與價值分配,最後再抽象成數學形式
舉例:合資購物
想像有三位同學:A、B 和 C。他們都想要買一台總價 90 元的裝置(例如某款新上市的電子產品)。假設每個人的預算如下:
- A 擁有 30 元
- B 擁有 60 元
- C 擁有 50 元
誰能單獨購買?
- A 單獨只有 30 元,不足以支付 90 元 → 買不下來
- B 單獨有 60 元,也不足以支付 90 元 → 買不下來
- C 單獨有 50 元,也不足以支付 90 元 → 買不下來
因此,任何一人單獨行動都無法購買。
組隊合作的情況:
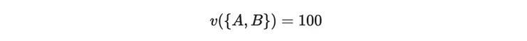
- A + B:合計 30 + 60 = 90 元:剛好可以買到這台裝置。→ 買得起
- A + C:合計 30 + 50 = 80 元:仍然不足以支付 90 元 → 買不下來
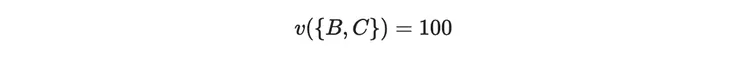
- B + C:合計 60 + 50 = 110 元:足以購買這台裝置。→ 買得起
- A + B + C:合計 30 + 60 + 50 = 140 元:當然也買得起這台裝置。
購買後的「效益」(Value):
為了專注在「能否合作買下裝置」這件事,我們可以假設裝置本身對玩家帶來的「使用價值」是 100(可以想像成對他們的總滿意度、或是用此裝置能創造的收益)。只要那個聯盟能成功湊到 90 元買下裝置,就能獲得 100 的總價值;如果無法買下,就只獲得 0。
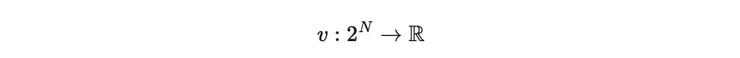
抽象化為特徵函數遊戲
在「特徵函數遊戲(Characteristic Function Game)」的模型中,我們有:
玩家集合:

特徵函數:

對於 N 的任意子集合 S(稱作「聯盟(Coalition)」),v(S) 表示該聯盟能夠「保證獲得」或「創造」的效益或收益。
在此例中,v(S) 的值如下:
任何單人聯盟 {A}, {B}, {C} 都無法單獨買下裝置,因此

多人聯盟的情況下:
{A, B} 雙人聯盟,合資 30 + 60 = 90 ,夠買,因此

{A, C} 雙人聯盟,合資 30 + 50 = 80 ,不夠買,因此

{B, C} 雙人聯盟,合資 60 + 50 = 110 ,夠買,因此

{A, B,C} 三人聯盟,合資 30 + 60 + 50 = 140 ,夠買,因此

一般定義
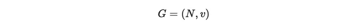
一個特徵函數遊戲 G 由兩個元素組成:

其中 N 為所有玩家的集合,而 v 是特徵函數

對於每個聯盟 S (即 N 的子集合)都指定出一個效用 v(S)。
細節上,我們通常也定義

表示無人合作就創造不出收益。
合作賽局中的效用分配問題
延續上面舉的合資購物的例子,你可以看到 AB 聯盟、BC 聯盟、以及 ABC 聯盟都可成功購買到價值一百的裝置,可是接下來呢?他們要怎麼分配這個一百的效用?
這個問題廣義來說,一個聯盟 S 得到聯盟的效用 v(S) 後,他們如何在這個聯盟中分配這個效用 v(S)?這將會是我接下來幾天要討論的主題
Takeaway
合作博弈理論:和非合作博弈不同,核心在於玩家能簽訂具有約束力的協議,並關注「聯盟的形成」與「收益分配」如何進行。
特徵函數遊戲 (Characteristic Function Game) :包含玩家集合 N 與特徵函數 v ,其中特徵函數會給每個聯盟 S (玩家 N 的子集)指定出一個效用
Reference
Chalkiadakis, Georgios, Edith Elkind, and Michael Wooldridge. _Computational aspects of cooperative game theory_. Morgan & Claypool Publishers, 2011.

















