在前幾天的內容中,我們看過 Shapley Value 如何透過「公平性」的邏輯,為每位玩家找到一個令人信服的分配方式。不過,遊戲中的玩家不只在意「個人是否得到合理貢獻」而已,也會思考:「如果部分玩家組成一個(次)聯盟,能否獲得比大聯盟(grand coalition)更多的收益?」
從一個不穩定的情況看起
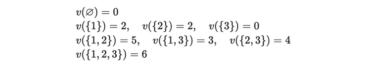
我們從一個例子開始看起:
令玩家集合為 N = {1, 2, 3}
假設特徵函數如下

如果按照 Shapley Value 來分配,那可以計算出

但是這時候,玩家 2 跟玩家 3 發現他們自己合作可以得到

而在 Shapley Value ,他們只被分配到

他們兩個人於是想說:「雖然全體聯盟可以讓大家的效用最好,但是如果我們自己結盟,就可以有四點的效用,這比在全體聯盟下接受 Shapley Value 還要高誒」於是就會背叛全體聯盟,然後兩人自行結盟了。
這就引出了穩定性的想法。如果某個次聯盟自行分割出去,能獲得更高的收益,那麼整個大聯盟的分配方案就不穩定。為了分析「整體分配是否能讓所有(次)聯盟都不想脫離」,數學家們於是提出 核心 Core 的概念。
Core 的「穩定性」
讀完上面那個舉例之後,其實你也可以想像數學家如何描述這個 核心 Core 。俗話說得好「哪裡漏水就把哪裡堵起來」(?)
假設遊戲 N = {1, 2, ..., n} 是超可加且最後形成全體聯盟
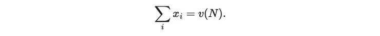
考慮一個效益分配向量 payoff vector

也假設這個效益分配向量符合效率性原則

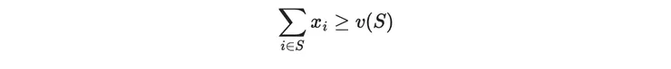
為了不讓有任何可能的(次)聯盟 S ⊆ N, 我們不能讓

發生。否則在這個效益分配向量下,S 的成員可以脫隊自行結盟,並得到更多的效用 v(S) 。
因此,核心 Core 就是要求,對於所有的(次)聯盟 S ⊆ N, 要滿足

編按:核心就這樣,非常簡單
為上面那個例子尋找穩定的分配
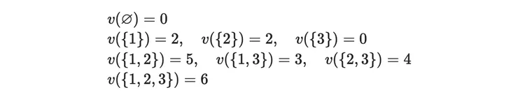
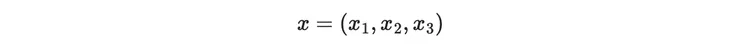
文章一開始的例子: N = {1, 2, 3}

我們的目標就是找到這個賽局的 核心 Core ,也就是穩定的效益分配向量
用以下符號來代表要求的效益分配向量

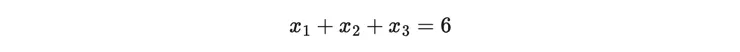
那麼他需要符合效率原則,也就是

除此之外還需要穩定性原則:
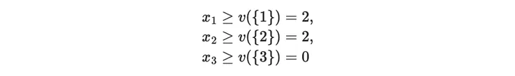
單人聯盟:

直覺就是這個收益分配下去不可以比他們單幹來得低,不然那個人單幹就好了
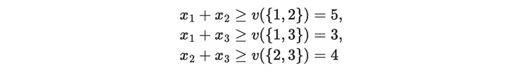
雙人聯盟:

直覺就是這個收益分配下去不可以比他們雙人組隊來得低,不然他們雙人組隊就好了
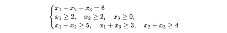
所以你就可以整理得出以下的線性系統:

解出 Core 的問題其實就相當於一個線性規劃問題。
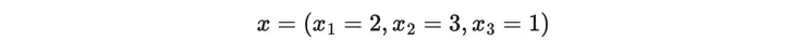
因為變數沒有很多,且數字漂亮,透過手算可以解出

我們會說這個效益分配向量滿足穩定性,或者「在核心 Core 裡面」
但是事情沒有那麼好!
不是每個合作賽局的 Core 都長這樣,只有「一個」穩定的效益分配向量。
有些賽局根本沒有 Core,或者說他的 Core 是空的
而有些賽局的 Core 可能不只一個向量
明天我們就來介紹一類特殊的合作賽局 Convex Game,這些合作賽局必定會有非空的 Core。
Takeaway
- Shapley Value 的局限:
Shapley Value 強調的是「個人貢獻」要被合理分配,但是它並沒有直接考慮「聯盟是否會分裂」的風險。也就是說,Shapley Value 給定的每位玩家的配額,可能會讓部分玩家認為:「若我們幾個人另組小團體,能拿到更多收益!」,這樣就會造成「不穩定」。
- Core 的出發點:
Core 更在意的是「沒有任何一個次聯盟想要離開大聯盟」。若我們能找到一個分配方式,能讓每個次聯盟得到的總分配不低於他們自己獨立組隊就能拿到的收益,則該分配方式被稱為「在 Core 裡」。
簡單來說,Core 代表所有不會被任何次聯盟威脅分裂的穩定分配集合
- 計算 Core 裡面的效益分配向量可以被寫成一個線性規劃的問題
Reference
Chalkiadakis, Georgios, Edith Elkind, and Michael Wooldridge. _Computational aspects of cooperative game theory_. Morgan & Claypool Publishers, 2011.

















