問題描述
儲備金計算
假設有兩個不同的保險自留團體,分別簡化為「團體 1」與「團體 2」。他們各自面臨相同的單次損失 1 元的風險,但出險機率不同:
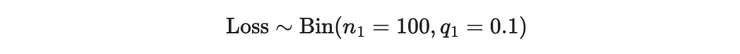
團體 1:有 n1=100 名成員,每人出險機率 q1=0.1。

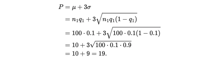
團體 2:有 n1=100 名成員,每人出險機率 q1=0.2。

假設每個團體若單獨經營一個小型「自保機構」,需在淨保費(期望損失)之上加一筆「安全附加費」,以確保機構的破產機率低於 0.001。
先看第一個團體,令以下的隨機變數代表「損失」:

我們使用鐘型分佈來近似這跟二項分布,這樣就可以查表計算,

令儲備金為 P ,則我們需要

如此一來,儲備金才會在只有 0.001 的機率這樣的儲備金不夠用,也就符合這個保險團體的要求。
先改寫一下:

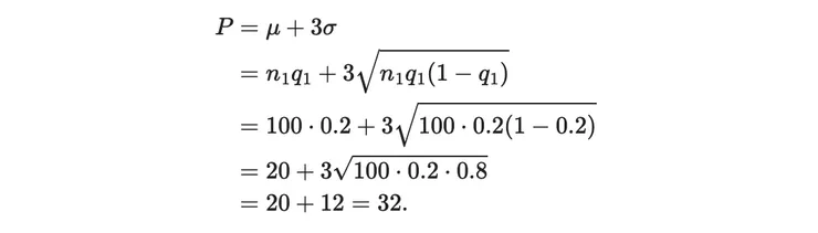
然後我們參考以下的鐘型分佈圖:

你可以看見在超過三個標準差時,累積機率就是 0.1 %。
因此如果我們要做到

那就需要要求

這樣才會讓累積的機率小於等於 0.001。
因此我們計算出儲備金應該要是

使用同樣的方法來計算第二個團體:

可以得到

合作計劃
到此為止我們已經計算出,如果團體一自己進行保險自留,則他們要準備儲備金

若團體二自己進行保險自留,則他們要準備儲備金

可是如果兩者合作呢?我們來計算看看:
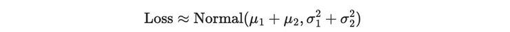
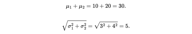
假設兩個團體的風險是獨立事件,且團體一與團體二的風險分別用鐘型分佈近似的話會是

則兩個團體的合併損失可以用以下的隨機變數:

因為 Loss1 與 Loss2 現在都用鐘型分佈近似,根據機率論的基本性質
( https://en.wikipedia.org/wiki/Sum_of_normally_distributed_random_variables)
可以寫出:

其中:

運用同樣的估計技巧,要達到破產機率小於 0.001 的話,儲備金至少要是

現在注意到:
若團體一自己進行,總共要花 P1 = 19
若團體二自己進行,總共要花 P2 = 32
但若兩者合作,需要花 P12 = 45

比兩個各自保險還省錢。
特徵遊戲模型
你發現這是一個經典的「成本分攤賽局(Cost Allocation Game)」,其對應到的成本函數是:

於是對應到的「節省賽局(Saving Game)」的特徵函數就會是:

我們來研究 Shapley Value 以及核心
Shapley Value
因為現在只有兩個人,所以只有兩種排序

團體一的邊際貢獻

團體二的邊際貢獻

另一個排序:

團體二的邊際貢獻

團體一的邊際貢獻

於是我們可以計算出 Shapley Value

核心
核心要滿足以下得線性條件:
效率性

穩定性

於是這幾乎不用解,隨便分都行。
Takeaway
此範例體現了合作賽局理論在保險領域中的應用,說明如何透過數學模型與解概念來做出「公平且穩定」的成本或收益分配,亦展現出團體合併在風險分散上的具體效益。
Reference
Lemaire, Jean. "Cooperative game theory and its insurance applications." _ASTIN Bulletin: The Journal of the IAA_ 21.1 (1991): 17-40.





















