隨著2050淨零排放的目標步步逼近,全球暖化的議題仍持續蔓延,企業如今正面臨越來越多的環境影響審查,為了更全面地了解各行各業對地球環境的影響,「碳負擔(carbon burden)」便誕生了。
什麼是碳負擔?
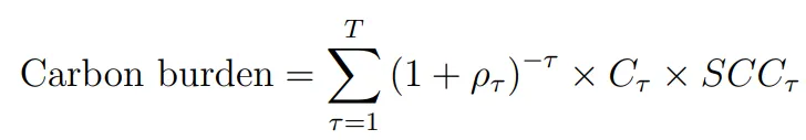
碳負擔是一個財務衡量指標,計算公式納入預期碳排量(Cτ)、每公噸的碳排放所造成的社會成本(SCCτ),以及折現率(discount rate, ρτ)。當折現率越高,代表企業的營運對未來環境所造成的影響越小。
-Robert Stambaugh and Luke Taylor(2024)-
與反映股東價值的市值計算不同,碳負擔強調了企業活動對環境造成的負面外部性,及其所造成的隱性成本,呈現企業營運的長期影響程度。因計算方式會考量企業實施的減碳作為,也從中反映了若有完整且長期的減碳規劃,有助於降低企業未來的營運風險。
為什麼碳負擔的概念很重要?
彌爾頓·傅利曼(Milton Friedman)曾斷言:「最大化利潤是企業的唯一職責」,然而時代的變遷使外部性的影響也必須納入企業責任的考量因素之一。量化外部性的隱藏成本不僅僅是企業的責任,更是連帶影響投資者與消費者一同加入責任網絡中,使社會不斷朝永續發展邁進。
與碳足跡有什麼不同?
碳負擔與碳足跡的共同目標都是減少溫室氣體的排放,以便企業管理與追蹤碳排量,但兩者間的不同在於,碳足跡聚焦於微觀的產品生命週期,碳負擔則放眼企業的未來責任,納入更多指標評估企業風險與社會外部性。
資料來源
https://knowledge.wharton.upenn.edu/article/how-much-do-corporate-carbon-emissions-cost/
Robert Stambaugh and Luke Taylor(2024)"Carbon Burden" in WORKING PAPER

















