前導
通常在設計數位邏輯電路時,為了簡化邏輯閘使用的數量與降低成本,需要將布林代數化簡,方法有很多,常用的化簡方法為代數演算法和卡諾圖法(更方便、快速)。
不過在介紹簡化的方法前,需要了解兩種度布林代數式表示法,分別為積之和(SOP)和和之積(POS)。積項之和(SOP)
- SOP 表示布林函數為「多個積項(AND)」的「相加(OR)」。其中,每個「積項」都是變數的「AND」運算。
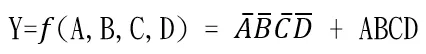
- 標準積項(SSOP),若一個積項中包含所有的輸入變數,則稱這個積項為標準積項或最小項,例如:

即為標準積項之和。
其中:

兩個積項均包含所有輸入變數,為標準積項。
和項之積(POS)
- 布林函數表示為多個「和項(OR 運算)」的「乘積(AND 運算)」,這種形式稱為 POS。
標準和項之積(SPOS),若一個和項中包含所有的輸入變數,則稱之為標準和項,又稱為最大項,例如:

即為標準和項之積。
下表為三輸入變數的標準積項、標準和項與輸入變數項次的對照,其中最小項的符號為m,最大項的符號為M。

SOP轉換成SSOP
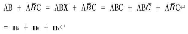
將有欠缺變數的積項以X表示,以下示範:

其中,X代表0或是1,不管是

皆不影響電路的功能(輸出結果)。
因為原項:

所以:

我們可以將結果寫為標準積和的簡易式:

POS轉換成SPOS
將有欠缺變數的和項以X表示,以下示範:

等於:

我們可以將結果寫為標準和積的簡易式:

SSOP和SPOS的互換
以實例說明如下:

上面真值表中,只看Y輸出為1的項,可以寫出標準積之和的簡易式:

而只看Y輸出為0的項,可以寫出標準和之積的簡易式:

由以上例子來看:

- 因此,兩者間的互換,只要填入各式沒有出現的數字即可。
本頻道持續更新中(內容涵蓋前端程式設計入門、大學必備程式設計入門、電子系專業課程入門、數學微積分題解)如果身旁有相關科系的學生,不妨推薦一下喔~
相信這裡會是家教或線上課程之外,高中、大學生系統性綜合學習的好選擇。
最後感謝您的觀看!




















