前導
我們現在要解以下積分題目:

所以本單元我們會利用各種我們學過的方法來嘗試解答這題:
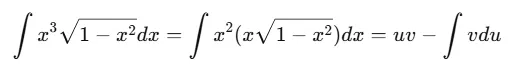
使用分部積分法
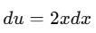
令:

微分它:

令:

積分它:

代入分部積分公式:

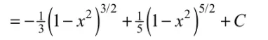
最後計算出結果:

使用變數代換法
令:

則:

最後計算出結果:

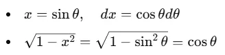
使用三角代換
令:

代入積分:

改寫:

再令:

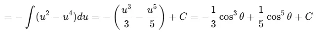
式子等於:

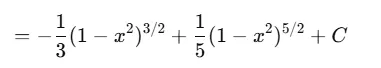
最後回代:

算出答案:

本頻道持續更新中(內容涵蓋前端程式設計入門、大學必備程式設計入門、電子系專業課程入門、數學微積分題解)如果身旁有相關科系的學生,不妨推薦一下喔~
相信這裡會是家教或線上課程之外,高中、大學生系統性綜合學習的好選擇。
最後感謝您的觀看!



















