
根據2016年歐洲風濕學會指引,在開始使用降尿酸藥物的前6個月,可以使用秋水仙素預防痛風發作,根據過去的研究指出,在使用福避痛(febuxostat)、達理痛(febuxostat)、威寧疼(allopurinol)、安樂普利諾(allopurinol)等藥物,合併使用0.5-1毫克的秋水仙素能有效降低痛風發作的風險,因此如果醫師同時開立降尿酸藥物及秋水仙素,兩個藥物是可以一起服用並達到更好的痛風控制,同時秋水仙素也有降低中風、心肌梗塞的效果。如果有慢性腎病、末期腎病、服用新體睦(ciclosporine)、普樂可復(tacrolimus)、安瑞福(tacrolimus)、降膽固醇藥物等狀況,請主動提供相關資訊給醫師評估。

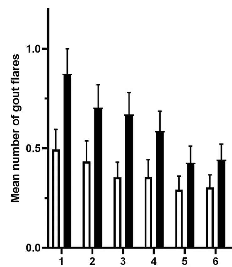
圖片中縱軸為平均急性發作數量、橫軸為時間(月)、白柱為服用秋水仙素、黑柱為服用安慰劑,可以發現服用秋水仙素後能有效降低痛風發作。(Stamp, Ann Rheum Dis, 2023)
資料來源
Cipolletta E, Nakafero G, McCormick N, Yokose C, Avery AJ, Mamas MA, Choi HK, Tata LJ, Abhishek A. Cardiovascular events in patients with gout initiating urate-lowering therapy with or without colchicine for flare prophylaxis: a retrospective new-user cohort study using linked primary care, hospitalisation, and mortality data. Lancet Rheumatol. 2025 Mar;7(3):e197-e207.
Stamp L, Horne A, Mihov B, Drake J, Haslett J, Chapman PT, Frampton C, Dalbeth N. Is colchicine prophylaxis required with start-low go-slow allopurinol dose escalation in gout? A non-inferiority randomised double-blind placebo-controlled trial. Ann Rheum Dis. 2023 Dec;82(12):1626-1634.
Yamanaka H, Tamaki S, Ide Y, Kim H, Inoue K, Sugimoto M, Hidaka Y, Taniguchi A, Fujimori S, Yamamoto T. Stepwise dose increase of febuxostat is comparable with colchicine prophylaxis for the prevention of gout flares during the initial phase of urate-lowering therapy: results from FORTUNE-1, a prospective, multicentre randomised study. Ann Rheum Dis. 2018 Feb;77(2):270-276.
Richette P, Doherty M, Pascual E, Barskova V, Becce F, Castañeda-Sanabria J, Coyfish M, Guillo S, Jansen TL, Janssens H, Lioté F, Mallen C, Nuki G, Perez-Ruiz F, Pimentao J, Punzi L, Pywell T, So A, Tausche AK, Uhlig T, Zavada J, Zhang W, Tubach F, Bardin T. 2016 updated EULAR evidence-based recommendations for the management of gout. Ann Rheum Dis. 2017 Jan;76(1):29-42.
Borstad GC, Bryant LR, Abel MP, Scroggie DA, Harris MD, Alloway JA. Colchicine for prophylaxis of acute flares when initiating allopurinol for chronic gouty arthritis. J Rheumatol. 2004 Dec;31(12):2429-32.





















