Gaussian Filtering(高斯濾波)是一種常用的影像平滑技術,廣泛應用於影像處理及計算機視覺中。它通過對影像進行高斯函數形狀的卷積運算,使得每個像素的新值由其周圍像素根據高斯權重加權平均計算而得。
主要特點:
- 平滑降噪:有效去除影像中的高頻噪聲,讓影像看起來更柔和、噪點減少。 權重分布:權重遵循高斯分布(鐘形曲線),中心像素權重最高,距離越遠權重越低,保留了鄰近像素的重要信息。 避免邊緣模糊過度:相比均值濾波,高斯濾波更能保持邊緣的平滑,同時減少模糊。 可調參數:可根據標準差σ調整濾波強度,σ值越大,模糊效果越明顯。
運用範圍:
- 影像降噪、去除細微雜訊 預處理以提升邊緣檢測、物體辨識效果 計算機視覺辨識系統中作為基礎平滑步驟 影像縮放、渲染與特效製作
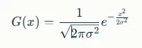
數學表示:
高斯函數一維形式為:
二維高斯函數為:

濾波器透過與影像矩陣的卷積計算每個像素結果,進行平滑處理。
簡言之,高斯濾波用類似鐘形曲線的權重對周圍像素取加權平均,有效平滑影像、減少噪聲,是影像處理中經典且重要的核心技術。



















