電子元件裡的無名英雄:電容選錯的工程代價
在所有電子元件裡,電容大概是最容易被忽略、卻最不能少的一顆。它不會像晶片那樣複雜,也不會主動放大訊號,但任何穩壓問題、噪音問題、系統不穩定問題,背後幾乎都跟「電容選得對不對」脫不了關係。
真正了解電容,遠比背幾個容量值更重要。這篇文章從原理、材料、結構一路談到選型時需要注意的「工程行為差異」。看完後,你會知道為什麼:同樣 10 μF,只是換一顆電容,整個系統行為就會變。
電容是什麼?電路裡最小的「儲能器」
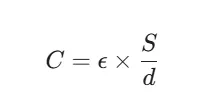
電容(Capacitor)是一種「儲存電荷」的元件。兩片導體之間夾著介電質,施加電壓後,電荷會分佈、儲能,再在電路需要時釋放。電容的儲電能力 $C$ 由物理結構決定:


這三個變數,是所有電容差異的根源:
- ε(介電常數):材料決定電容的本質,介電常數越高,容量越大。
- S(極板面積):極板面積越大越能儲電。
- d(極板距離):影響容量和絕緣難度。
設計核心:電容的性能、成本、體積都源於材料與結構的選擇。
電容在電路中的三大核心功能
不論類型,所有電容在電路中的角色,都可以歸類成三件事:
- 瞬間儲能(備用電源):當負載突然拉高或電壓瞬間下跌時,電容會短暫補電,避免瞬斷、避免晶片 reset、避免 USB 掉電。
- 去耦(消滅雜訊):電容對高頻訊號的低阻抗特性,能將電源線上的高頻雜訊旁路掉。這是電源穩定的基礎。
- 耦合(隔直流、通交流):隔離DC偏壓,只讓 AC訊號通過。讓音訊或類比訊號能乾淨通過,隔開不同 stage 的偏壓。
不同材料的電容會有完全不同的行為
1. 積層陶瓷電容(MLCC)— 高頻性能與穩定性風險
MLCC 是現代電子產品使用量最大的電容,具有體積和成本優勢。
- 優勢:體積極小、ESR 極低、高頻性能最強。
- 工程風險:容量隨DC偏壓下降:實際容量會隨電壓和溫度而大幅衰減。壓電鳴叫:MLCC 可能產生噪音,在音訊或震動敏感產品中是設計上的風險。
2. 鉭質電容(Tantalum Capacitor)— 電源穩定度之選
- 優勢:容量穩定度高(不受電壓、溫度影響)、漏電低、無壓電效應。
- 設計考量:對過壓極敏感,工程師在選型時必須預留足夠的耐壓裕度。
- 適用:穩定的電源輸出端。
3. 鋁電解電容(Aluminum Electrolytic)— 大容量與壽命限制
- 優勢:容量非常大、價格便宜。
- 設計考量:ESR 大、漏電大;壽命會隨溫度縮短;高頻性能弱。主要用於電源輸入端的大容量濾波。

4. 薄膜電容(Film Capacitor)— 類比訊號的純淨度
- 優勢:超低失真、超低噪音;溫度穩定性極佳;無壓電效應。
- 設計考量:體積大、成本高。適用於精密類比電路或音訊。
5. 矽電容(Silicon Capacitor)— 新一代高穩定度
使用半導體製程打造的新型電容。
- 優勢:容量極穩定(幾乎沒有 DC 問題)、完全無壓電效應、可做到非常薄的尺寸。
- 設計考量:成本通常最高。適用於高速通訊、車用電子等高可靠性系統。
MLCC、鉭電容、矽電容:工程師的選型依據
這三種現代電容在關鍵性能上的差異,是設計時必須衡量的風險:
- 容量穩定性:MLCC最不穩,隨電壓下降。鉭質電容大致不變。矽電容最佳,極穩定。
- 噪音風險:MLCC可能鳴叫。鉭質、矽電容不會鳴叫。
- 頻率性能:MLCC最強。鉭質電容偏中低頻。矽電容,中高頻穩定度佳。
實務選型指南
- 追求高頻、低ESR選MLCC(但必須處理 DC偏壓和噪音問題)。
- 追求電源穩定度,對 DC偏壓敏感:選鉭電容或矽電容。
- 追求音訊、超低失真:選薄膜電容。
- 追求極致小型化與穩定性:選矽電容。
工程師的終極選型:材料行為與隱性成本的權衡
電容看起來只是一顆小元件,但後面連動的是:材料科學、介電物理、頻率行為、溫度管理、機械振動。
理解這些差異,能幫助你避免因不了解材料行為而導致的系統不穩定的隱性工程代價。容量相同的電容,行為可能天差地遠。選對電容,是工程穩定性的第一步。















