很多人從生活經驗會直覺認為:
「波一定要有介質」
但那其實只對 機械波(mechanical waves) 成立。
真正答案是:
🎯 一句話結論
👉 有些波需要介質,有些完全不需要。
取決於:
「在振動的是什麼東西?」
一、先分成兩大類(最重要觀念)
🔵 ① 機械波(需要介質)
👉 振動的是「物質粒子」
所以一定要有東西可以晃。
例子

沒有介質會怎樣?
👉 直接消失
例如:
- 太空不能傳聲音
🔴 ② 場波(不需要介質)
👉 振動的是「場(field)本身」
場是空間的基本性質,不是物質。
所以:
真空也能傳
例子

👉 全部都能在真空傳播
太陽光就是穿越真空來到地球。
二、關鍵:什麼是「場」?
這是現代物理核心觀念。
傳統直覺(錯)
空間 = 什麼都沒有
現代物理(對)
空間 = 充滿各種場
例如:
- 電磁場
- 電子場
- 重力場
- 希格斯場
場是:
👉 「存在於每一點空間的物理量」
像溫度場一樣:
- 每個位置都有數值
- 不需要物質存在
三、光波為什麼不需要介質?
歷史故事很有趣:
19 世紀科學家認為:
光一定要有介質 → 發明「以太」
結果:
Michelson–Morley 實驗
找不到以太
→ 以太不存在
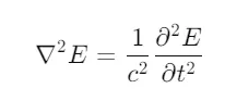
後來馬克士威方程式告訴我們:

電場本身就能形成波動解。
👉 電場自己產生磁場,磁場再產生電場
互相支撐:
E → B → E → B → ...
就這樣自己往前跑
完全不用介質。
四、直覺圖像幫助理解
機械波(需要東西晃)
像:
人浪
必須:
- 有人
- 才能傳
沒人就停。
電磁波(場自己晃)
像:
溫度場自己變化往前推
不需要東西搬運。
五、那光子怎麼看?
連到你前面問題:
波動觀點:
👉 電磁場振動
量子觀點:
👉 這個振動的最小能量包 = 光子
所以:
- 波:場的連續振動
- 光子:振動的量子化單位
兩種描述同一件事。
六、總整理對照表(一定要記)

🎯 一句話最終記憶法
「晃東西要介質,晃場不用介質」
或更物理一點:
只要是「場的波動」,就不需要介質。
























