Loop Quantum Gravity(迴圈量子重力,LQG)是一種嘗試把廣義相對論與量子力學結合的理論路線。
它的核心主張非常直接:時空本身是量子化的。
空間不是連續的,而是由離散的量子單元組成。
我們一步步拆解。
一、它在解決什麼問題?
廣義相對論說:
- 重力 = 時空曲率
- 時空是連續幾何
量子力學說:
- 自然界是量子化的
- 物理量常是離散的
問題出在:
在黑洞奇點或宇宙初期,
- 曲率趨近無限
- 理論崩潰
LQG 的目標:
讓時空也變成量子結構
消除奇點
二、基本思想
LQG 不假設額外維度,不引入弦。
它直接從廣義相對論出發,
將其改寫成類似「規範場理論」的形式,
然後量子化。
核心數學工具:
- Ashtekar 變數
- 連接(connection)
- 迴圈(loops)
因此得名「Loop」。
三、最重要結果:空間是離散的
LQG 的驚人預測是:
- 面積算符 → 有離散譜
- 體積算符 → 有離散譜
意思是:
空間像是由「量子積木」組成。
最小尺度大約在:
Planck 長度
∼10−35 公尺
不是連續的。
四、空間長什麼樣?
LQG 用一種結構描述空間:
Spin Network(自旋網絡)
它是一種圖結構:
- 節點(nodes)
- 邊(links)
每條邊標記一個自旋數值。
這些數值決定:
- 面積
- 體積
空間在最底層不是平滑背景,
而是網絡狀結構。
五、時間呢?
時間在 LQG 中不是基本背景。
它來自:
自旋網絡的演化
這種演化稱為:
Spin Foam(自旋泡沫)
時間變成一種量子轉換關係,
而不是連續流動。
六、黑洞問題
LQG 有一個成功點:
它可以從自旋網絡微觀自由度
推導出:
黑洞熵
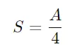
結果與 Bekenstein-Hawking 熵公式一致:

這是重大成果。
七、宇宙起源
LQG 的宇宙學版本(Loop Quantum Cosmology)預測:
大爆炸不是奇點
而是「大反彈」(Big Bounce)
在極高密度下,
量子幾何產生排斥效應,
避免無限曲率。
八、與弦理論的差異

LQG 強調:
背景獨立(background independence)
這是它的重要哲學立場。
九、目前問題
LQG 仍然面臨:
- 尚未完全還原標準模型
- 實驗證據缺乏
- 低能極限如何精確回到廣義相對論仍在研究
十、核心一句話總結
Loop Quantum Gravity 主張:
時空本身是由離散量子網絡構成,
重力不是力,而是這些量子幾何單元的關係。
它不是把重力加上量子,
而是:
把幾何變成量子。




















