本文內容部分整理、翻譯自:http://insectforum.no-ip.org/gods/cgi-bin/view.cgi?forum=1&topic=438
真菌如何生長?先從「菌絲」開始理解
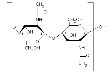
真菌的細胞壁由幾丁質(Chitin)構成。幾丁質是一種由 N-乙醯氨基葡萄糖 以 β-1→4 鍵連結而成的高分子多醣,結構堅固、耐磨,就像昆蟲外殼的材料一樣。
真菌並不是一整塊在長,而是由許多細細長長的「菌絲」組成。
你可以把它想像成:無數條白色細線在木頭裡鑽來鑽去。

這些菌絲會:
- 侵入木材或寄主內部
- 分泌酵素分解食物
- 吸收小分子養分
- 最後在頂端產生孢子進行繁殖
所以真菌的生活方式,本質上就是: 分解 → 吸收 → 擴散 → 再生長

真菌為什麼這麼「耐操」?環境適應力超強!
真菌比細菌更能適應惡劣環境,甚至能在細菌難以生存的地方生長。
它們屬於「化學異營生物」,直接從環境吸收有機養分。

與細菌相比,真菌有幾個明顯優勢:
真菌的生存特點
- 可生長於酸性環境(如pH 5.0),這種酸度下不適合細菌生長。
- 比細菌對滲透壓具抗性,因此能生長於高糖或高鹽環境。
- 能生長於低水份含量基質,同一環境下細菌不能生長。
- 對氮源之需求比細菌低。
這也是為什麼腐木環境幾乎都是真菌的天下。

幾丁質是什麼?為什麼和鍬形蟲有關?
天然的幾丁質主要存在於:
- 蝦蟹殼
- 烏賊骨
- 昆蟲外骨骼
- 真菌細胞壁


幾丁質和植物的「纖維素」非常像,只差一點點化學結構。
- 纖維素由葡萄糖組成,存在於植物細胞壁
- 幾丁質由N-乙醯葡萄糖胺組成,存在於甲殼動物外殼與真菌細胞壁
但重點來了——
真菌細胞壁的幾丁質可以直接供鍬幼生長所需...嗎?
實際上幾丁質仍需要經由真菌和細菌的幾丁質酵素分解成小分子,才有機會能被鍬幼吸收。
透過這個方式獲取的營養有限,幾丁質仍依靠葡萄糖和乙醯基聚合而成,其中:
- 葡萄糖:由纖維素分解而來
- 乙醯基:來自蛋白質分解(來源包括木頭、真菌或細菌的蛋白質及腐植質)

那真菌到底怎麼幫助鍬幼?
關鍵在幫忙「預處理」木材,幫助降解木質素、分解纖維素,以利鍬幼後續消化吸收。
同時產生:
- 多糖類(尤其是肝糖)
- 脂肪(主要碳源及能量形式)
- 些胺基酸、嘌呤、甘酸等(如菇類口味相關)
- 維生素
- 可溶性膽固醇等
因此真菌本身營養價值高。

菇類構造與繁殖
菇類由菌絲體和子實體組成:
- 菌絲體由菌絲組成,是菇類的攝取營養的器官。
- 在條件適合下,菌絲不斷成長分化形成子實體;子實體是菇類的繁殖器官,由菇傘、菌柄、菌褶形成。
- 菇傘:保護擔孢子產生場所(菌褶)的器官
- 菌褶:孕育擔孢子的場所
- 菌柄:支撐菇傘和菌褶及輸送養料、水分的器官

理解真菌原理後,真正的養蟲實戰才開始。
下一步...
接下來我們要回答:
👉 哪些菇類菌種最適合養鍬幼?
👉 台灣常見食用菇介紹
👉 菌絲瓶怎麼做?
👉 太空包成分比例公開
本文內容部分整理、翻譯自:
http://insectforum.no-ip.org/gods/cgi-bin/view.cgi?forum=1&topic=438
原文版權屬原作者所有,本文僅作知識分享與教育用途,若有侵權請聯繫告知,將立即下架。中文整理:峰甲蟲CrazyBeetles
The original copyright belongs to the respective authors.This article is for educational and informational purposes only.If any copyright infringement is found, please contact us and the content will be removed immediately. 峰甲蟲CrazyBeetles
編者註:這篇文章原文出自一位我非常敬佩的作者。為了讓更多人能更容易閱讀與理解,我重新整理、補上圖片與註解,並在部分內容中加入延伸說明。
請務必支持原創!原文連結與作者資訊已附在文末 🙏
Editor’s Note: This article was originally written by a creator I deeply respect. To make the knowledge easier to access and understand, I’ve re-edited the content, added images and notes, and included some contextual explanations.
Please make sure to follow and support the original author — credits and source links are listed below. 🌱























