再「升維」一層,進入相對論真正完整的結構👇
一、完整關係式(核心)
在 狹義相對論 中:E² = (mc²)² + (pc)²
👉 這是比E = mc² 更基本的公式
二、這個公式在說什麼?
它把三件事統一起來:
- E:能量
- m:靜止質量
- p:動量
👉 意思是:
👉 能量 = 質量 + 運動 的總合
三、兩個極端情況(關鍵理解)
1️⃣ 靜止粒子(p = 0)
E = mc²
👉 就是你熟悉的
質能等價
2️⃣ 無質量粒子(m = 0)
例如 光子:
E = pc
👉 光沒有質量,但有能量與動量
👉 這是超關鍵結論:
👉 「有能量 ≠ 一定有質量」
四、這其實來自更深的東西
這條公式本質來自:
👉 四維時空結構
在 閔可夫斯基時空 中:
E² - (pc)² = (mc²)²
👉 類似:
- 空間距離:x2+y2+z2
- 時空距離:時間和空間會「混在一起」
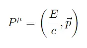
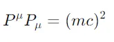
五、四動量(真正的核心)
物理學家更喜歡這樣寫:
👉 定義:

👉 叫做:
四動量
👉 然後有:

👉 這句話超重要:
👉 質量其實是四動量的「不變長度」
六、這改變了什麼觀念?
❌ 舊觀念:
- 質量、能量是不同東西
✔ 新觀念:
👉 質量 = 能量-動量在時空中的幾何性質
七、再往量子場論推
在 量子場論 中:
👉 粒子其實是「場的激發」
那這條公式變成:
👉 場的振動頻率與波數滿足:
E² = (mc²)² + (pc)²
👉 意思是:
- m → 場的「內在頻率」
- p → 空間波動
👉 所以:
👉 粒子 = 一種在時空中振動的模式
八、關鍵整合
現在你可以這樣看宇宙:
✔ 普通粒子
- 有 m、有 p
- 遵守這個公式
✔ 光子
- m = 0
- 純粹是場的傳播
✔ 暗物質
- 很可能也是某種場的激發
- 也必須滿足這個關係
✔ 暗能量
- 更極端:可能是
👉 「場的基態(真空能)」
九、最深的一句話
👉 E² = (mc²)² + (pc)² 表示:宇宙中的一切粒子,本質上都是時空中「振動模式」的不同幾何表現
















