1.0 從函數到函算語法

1.2 函數概念小史
- 1.2.1 中譯的來源
- 1.2.2 一個速度問題
- 1.2.3 幾何的方法
- 1.2.4 微積分的記法
- 1.2.5 弦的振動
六
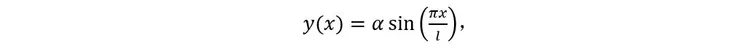
當時研究離散系統的丹尼爾.貝努利 (Daniel Bernoulli﹔約翰•貝努利的兒子) 可能受到一個離散系統可以有可數的多個狀態啟發,也可能受到歐拉的啟發,想到一根振動弦能有無窮多的基本振動。較早前,英國數學家布魯克‧泰勒 (Brook Taylor) 觀察到波動的基礎振幅為

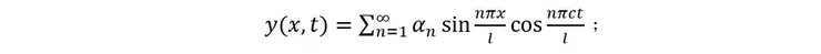
在這個基礎之上,丹尼爾‧伯努利認為振動弦難題的解必然是基諧波與高諧波的和,並提出了

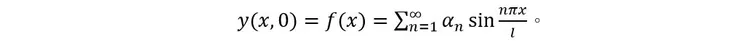
因此任意函數 f(x) 可以在 (0, l) 上表示為一系列的正弦

時為公元1753年。
但特朗貝爾和歐拉都並不同意。歐拉批評說,丹尼爾‧貝努利的主意後果不堪切想,因為對歐拉來說,一個能用多個弧的正弦級數表述的「完全任意」的 x 的函數必然是個偶函數,並且同時是個周期函數﹔因為既然 f(x) 和那正弦級數

在 (0, l) 上為吻合,它們必然各處吻合 (十八世紀數學信條﹗)。
特朗貝爾同意歐拉的見解,並且認為不是每一個(分析)周期函數都可以用正弦級數表示的。貝努利指出他自己的方程包含無窮多的不確定系數,足以解決歐拉和特朗貝爾的憂慮。
但其中一個反對的意見正是缺乏計算這些系數的規則。
你來我往地又過了幾年,論爭不了了之。
必須留意的是,貝努利一心要解決一個物理問題,因此沒有為函數下定義。他說的「任意函數」只是指振動弦的任意線狀。
當代科學哲學家杰羅姆‧雷蒙德‧拉韋茨 (Jerome Raymond Ravetz) 將當時沒有結論的論爭的性質描述為特朗貝爾的數學世界﹑貝努利的物理世界和兩人之間的歐拉的荒蕪之地的論爭。[Ravetz 1961: 81]
__________
待續




















