
作為一名產品人,目前運營社群型產品,我對於社群相關的內容會特別留心。
當我第一次看到這篇名為《Influencer Dynamics》(我想中文語境應該翻成《KOL經濟學》)的論文時,立刻意識到這篇研究的發現,或許會為我帶來新洞察。這是一篇很新的文章,2024年10月才發布,作者是Kazimier Smith,他透過1369名KOL的數據,回答了像是KOL的工作時長、接業配會不會影響粉絲數和收入與影響力之間的關聯,這些問題相信就算不是KOL也會感到好奇。
看完之後我發現,對於想要成為KOL,或者從事跟社群有關的人來說,這篇研究確實提供了許多寶貴的見解,因此寫一篇文章跟你分享。
需要特別說明的是,這篇論文的數據主要基於美國熱門的網紅平台和數據來源(如FYPM.vip),不過雖然研究的焦點在美國,但所分析的Instagram和TikTok等社群媒體具備全球影響力,因此研究結果在其他地區也具備一定參考價值。
這篇文章主要講了什麼?
消費者上社群媒體主要是為了娛樂和發現新產品。
為了吸引這些潛在客戶,品牌會找一些在網路上有影響力的人(稱為「KOL」)來推薦產品,並根據他們的粉絲數來決定給多少酬勞。
但推薦是否有效,往往取決於KOL和粉絲之間的信任感。
如果推薦看起來不真誠,反而可能讓粉絲對KOL失去信任。
為了讓粉絲群穩定成長,KOL需要慎重選擇要發什麼內容。
研究者研究了1369名KOL的發展歷程,發現其實自然內容(無贊助)和業配內容對粉絲增長的效果差不多,但大部分KOL還是發更多的無贊助內容,原因在於,業配內容的額外成本(比如溝通)讓他們不想(或不願意)發過多的業配文。
研究者利用他們的內容選擇來估算這些成本,並整理出KOL的發文策略:「隨著粉絲數增加,他們會逐漸增加業配文,但到了一定規模後就不會再增加了,不會無限上漲。」
在產能議題上,雖然有些KOL偶爾會「爆紅」,但普遍來看,KOL的粉絲成長還是得靠穩定的產出。
也就是說,當KOL跟其他工作一樣,都需要持續不斷的產出,碰碰運氣式的做法難以成就KOL。
以下細講我覺得最有啟發的三點:
- KOL粉絲數與收入之間的關係是一分耕耘一分收穫嗎?
- 自然內容與業配內容的比例如何拿捏?
- KOL工作時長比一般人高還是低?
KOL粉絲數與收入之間的關係是一分耕耘一分收穫嗎?
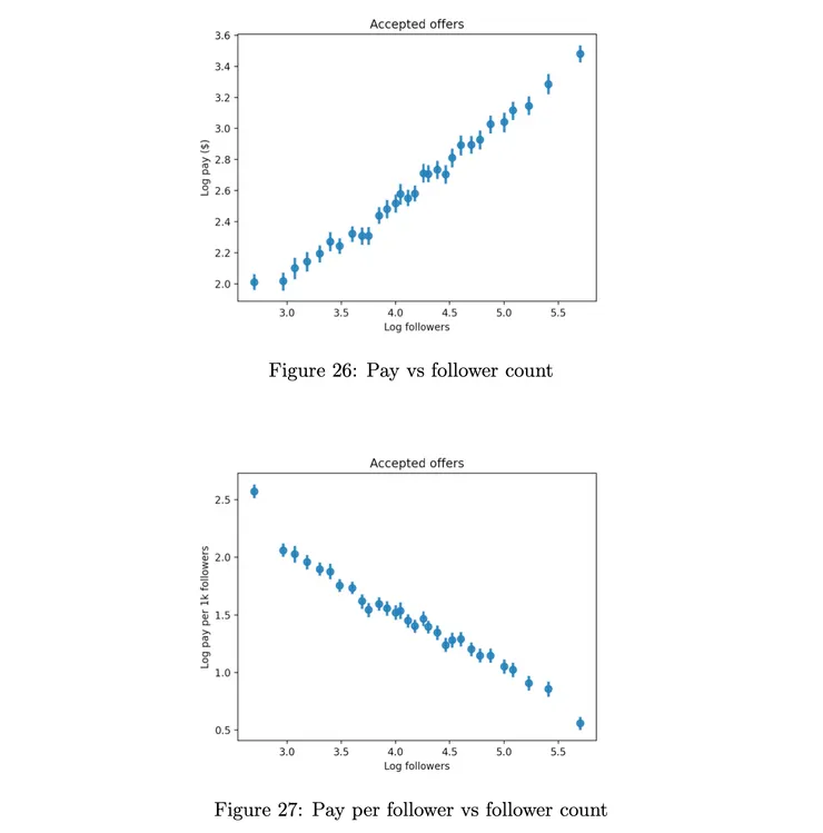
KOL粉絲數與收入的關係確實存在正相關,但並非單純「粉絲越多,收入越高」。
《KOL經濟學》指出,雖然粉絲數的增加確實為KOL帶來更多業配機會與收入潛力,但這並不是線性成長,而是受到多方面因素影響的動態平衡。
報告數據顯示,KOL的主要收入來源是業配內容,品牌支付的廣告費用通常隨粉絲數量而提升
- 擁有10000粉絲的KOL每篇業配內容收入約145美元
- 擁有100000粉絲的KOL每篇收入可達448美元
這表明粉絲基數對收入的直接影響
- 粉絲數越多,單篇業配內容的收入越多
- 粉絲數越多,每一個粉絲對應到的收入反而降低

因此對大品牌來說,如果找粉絲數破百萬的大KOL的話,反而是一個單位廣告成本比較低的事情。
自然內容與業配內容的比例如何拿捏?
自然內容與業配內容的比例拿捏,是影響KOL職業發展的關鍵平衡點。
《KOL經濟學》報告指出,如何合理分配自然內容與贊助內容的比例,對KOL的品牌信任、粉絲忠誠以及長期職業發展至關重要。
以下是關於掌握這一平衡的幾個關鍵要點:
- 自然內容對粉絲增長的正面影響力,跟業配內容對粉絲增長的負面影響力一樣大:報告分析了1369位KOL的職業數據,顯示兩種貼文對粉絲增長的影響力大小幾乎一致。往好了說,可以說好的業配也能漲粉;往壞了說,業配接多了或接錯了可能導致漲不了粉。
- 短期收益與長期收益的權衡:業配內容帶來直接收入,但也涉及品牌協商和匹配的成本;而自然內容則能增加粉絲數,帶來未來收入。如何平衡這兩者,是KOL保持粉絲忠誠與獲取收入的關鍵。
- 職業發展與內容策略:報告指出,KOL的職業發展並非僅依賴病毒性貼文,而是透過穩定的內容輸出來達成。研究發現,隨著粉絲數量的增長,KOL會逐步提高業配內容比例,但這樣的增加是有限度的——過多的業配內容會開始對粉絲增長產生負面影響,超過某個比例後,可能弊大於利。
總的來說,KOL的自然內容與業配內容比例並非一成不變,而是隨著粉絲規模、內容成本、市場變動而動態調整。
KOL應尋求在維持粉絲忠誠度和最大化長期收益之間找到平衡,以保持職業發展的穩定性。
如果一定要具體說明這兩者的關係的話,在文中作者用下面這張圖展示了一個理想的自然內容和業配內容的數量比例:每2-4則自然內容對應1則業配內容。
具體比例不一定,但肯定的是業配內容的數量肯定少於自然內容。

KOL工作時長比一般人高還是低?
做KOL不是玩,而是一份工作。
KOL的工作時長與全職工作相當,甚至更長,特別是對於擁有大量粉絲的KOL。
根據《KOL經濟學》中的數據顯示
- 1000到10000粉絲的KOL:每週平均在KOL工作上投入約30小時
- 粉絲數在50萬到100萬之間的KOL:他們每週的工作時長更是高達40至50小時
與一般全職每週40小時的標準相比,KOL的工作時數不遜色,甚至隨著粉絲數量的增長而增加。
這種超長工時尤其明顯在粉絲規模較大的KOL身上,他們往往在各類工作環節投入更多,工作強度甚至高於許多傳統職位。
值得一提的是,KOL的工作並非僅限於內容創作,還包括與粉絲的互動、與品牌的協商等。
這些工作不像傳統工作那樣具有固定的工作時間和明確的界定,工作內容靈活且多樣,因此實際投入的時間可能比表面數據顯示的更多。
綜合來看,KOL的工作時長與全職工作基本相當,甚至可能更高,尤其是粉絲數量較大的影響者,工作時間和強度明顯超出平均水平。
這也體現了KOL工作性質的多樣性和複雜性,反映了他們在建立個人品牌和維繫粉絲關係上投入的巨大努力。
雖然這篇文章並未深入分析不同平台之間的差異性,但從中可以看出,平台政策的變動對網紅的內容策略具有直接影響。
例如,假設平台能降低業配內容的溝通成本,提供更高效的商務匹配工具,將會提高平台上的業配內容比例。
中國的小紅書就是一個很好的例子,它已經推出了廣告匹配功能,使品牌方更容易找到合適的創作者合作,創作者也更容易接到合適的商單。
這項研究加深了我對社群生態的理解,讓我更全面地掌握影響內容和業務決策的因素。
這些洞察提供了新的視角,讓我在未來規劃產品時能多一層思考,除了產品本身的用戶體驗之外,也能夠想到對內容生態的影響。
如果在這篇文章感興趣的朋友,想要看原文的話,可以到Kazimier Smith的個人網站上觀看《Influencer Dynamics》。





















