在油管主頁瞥見一個數學題目(註),

哇,真是奇葩!他花了20分鐘,寫了好幾張紙,先把所求設為x,經過高達四位數的冗長計算,推出一個x的方程式,還有一項分母帶未知數,x的頭上都有5次方。這已經夠嚇人了,竟再引入另一個未知數m = ( x – 2/x ),再歷經辛苦的計算,變出一個m的五次方程式,推出一個合理解,再回頭據以求x。哎呀呀,他是想把學生嚇退三千里嗎?
![[陳傳義]作圖](https://img.vocus.cc/B5JTsreHAkSkWfIDfVoM4bmtOEnD3CrH18ETK_8rtgA/w:740/f:webp/plain/https://images.vocus.cc/e257c960-d089-4983-b474-e754687aa6a9.jpg)
[陳傳義]作圖
其實這題本來可以輕鬆解決的,過程中產生的數目頂多兩位數。以下分享本人的解法,有興趣的朋友,不妨拿來殺時間吧,某些處理的技法倒是值得國、高中學生學起來。
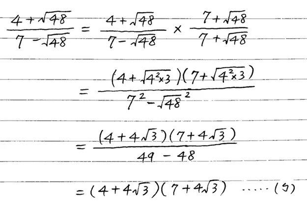
第一步,先做大根號內的根式化簡:

利用平方差乘法公式把分母有理化,
並將根號48化簡。
第二步,處理(ㄅ)式後面的括號:

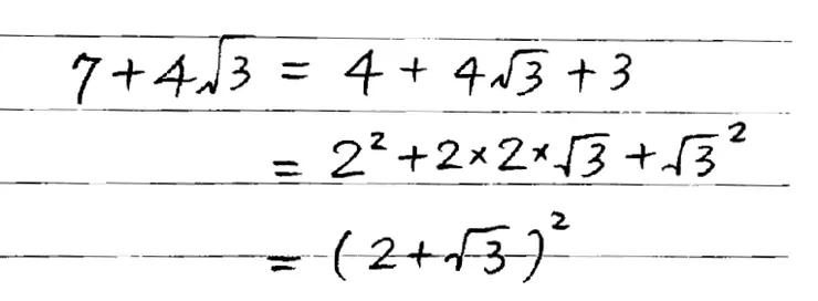
把7拆成4+3,
剛好可配成完全平方式,

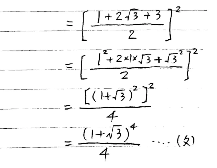
括號內乘以 2/2,
目的是使分子配成平方,

把4拆成1+3,
再套用完全平方公式,
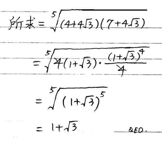
第三步,由(ㄅ) (ㄆ)兩結果,得

註:題目網址在 https://www.youtube.com/watch?v=A5_5KTiRUFc





















