前導
廢話不多說,直接練習一些較有難度的題目。
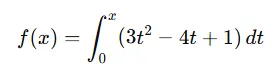
練習1
題目是:
要求的是:f(x) 的最大值?
解答:
找最大值 → 對 f(x) 微分並找極值點,另外,還計得積分第一定理嗎,這邊很直覺的得出以下式子(你當然也可以對被積分函數進行積分處理後再微分,結果一樣)

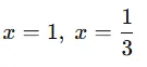
設 f′(x)=0,解出:

畫出遞增、遞減區域:

由上圖,可以得知極大值在 x = 1/3 處。
最後我們帶入 x = 1/3 求最大值:

練習2
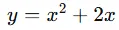
求兩函數所圍成區域的面積,分別是:

以及

示意圖如下:

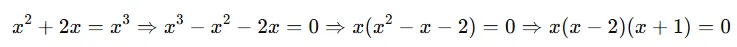
在計算這類題型時,我們需要求出他們的交點,也就是透過讓兩式相等求出 x。

所以交點在:

而在計算面積時,透過積分計算區間內[上層的函數線 - 下層函數線]會得到正確面積,不過,實際上在計算時,你不需要知道某區間內哪條函數線比較高,因為就算你積分出得結果為負的,只要加上絕對值就好,因為我們知道面積會是正的。
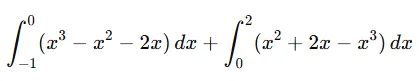
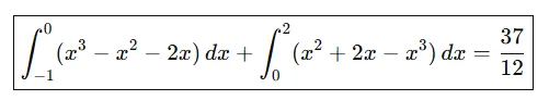
所以列式如下:

最終得到答案:

練習3
題目:

首先我們要找切線方程式:
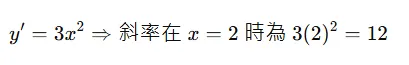
對它求導:

通過點 (2,8),斜率為 12,套入點斜式公式:

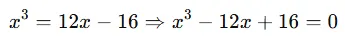
接下來我們要找交點,我們令兩式相等:

而我們已知切線一定通過 (2,8),也就是說 x=2 是一根
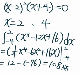
我們可透過綜合除法來進行因式分解:

進行最後計算並得知結果為:

練習4
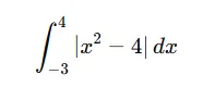
題目為求:

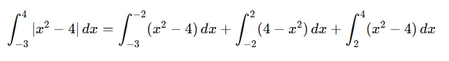
首先我們分析絕對值條件:

拆解積分區間並消去絕對值:

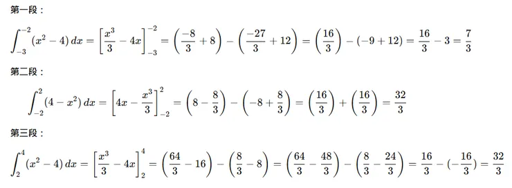
計算三部分:

總和:

好,以上就是一些基本的積分練習,希望對讀者有幫助。
本頻道持續更新中(內容涵蓋前端程式設計入門、大學必備程式設計入門、電子系專業課程入門、數學微積分題解)如果身旁有相關科系的學生,不妨推薦一下喔~
相信這裡會是家教或線上課程之外,高中、大學生系統性綜合學習的好選擇。
最後感謝您的觀看!






















