引言

科學,被認為是建立現代社會可靠的基石,物理、化學、生物科學不但增加了我們對於世界的認識,更推動科技改變我們的生活。科學之所以有偉大的成就來自於科學方法,在大學科學的基礎教育中,我們學到的科學方法的內容大致如下:觀察→提出假設→做出預測→做實驗測試假設→若實驗證偽則修改假說,實驗支持假說則形成理論。但你是否曾經想過為何我們說這套方法是「科學」的,也就是說這套方法內含的元素有辦法分辨何謂「科學」,何謂「形上學 (metaphysics)」;此外,這套方法所形成的理論到底有多可靠?也就是我們是否能「證明」 (verify) 一個科學理論?以及科學家應該要如何使用這套方法來做研究?
卡爾·波普爾 (Karl Popper) 在他1959年的書【The Logic of Scientific Discover】解析了這套方法的內涵,他指出,科學與形上學的分界在於可證偽性 (falsifiability)。藉由這本書的內容,我們會討論不同哲學派別對於區分科學與形上學的標準,接著我們會解析為何科學理論是可證偽的,以及科學家應該如何使用這套方法來處理他們的理論。
科學與形上學的分界問題 (The problem of demarcation)
在日常生活中,我們可能會聽到占星學跟我們說:「處女座很龜毛。」,直覺上來說這不是一個科學的命題;另一方面,熱力學第一定律告訴我們:「一個孤立系統的內能是恆定的。」,我們認為這是科學的,但是區分兩者的標準是什麼?這個問題被稱為科學與形上學的分界問題,從亞斯多得開始就困擾著哲學家,而波普爾從邏輯實證主義的觀點開始討論。
邏輯實證主義 (logic positivism) 看分界問題
邏輯實證論者認為科學的語句 (statement) 都可以簡約 (reducible) 為屬於經驗的初級語句 (elementary statement),反過來說,也就是科學語句可以透過經驗事實以歸納法 (induction) 證明,因此實證主義者可以將熱力學歸類為科學而占星術歸類為形上學 ,因為占星術的命題難以用經驗事實觀測 (例如,龜毛的定義很主觀),相反的,熱力學定律可以藉由實驗觀測,例如焦耳的熱功當量實驗可以證明熱力學第一定律。
但波普爾告訴我們,實證主義的問題在於歸納法,歸納法是藉由歸納許多觀察得到一個普世的結論,其存在邏輯上的問題,也就是我們永遠無法以歸納法證明一個命題,以下面這個例子作為說明:例如假設我是一個古代的歐洲人,早上出門散步,看到有一隻白天鵝,然後走了一會兒又看到更多的白天鵝,那時歐洲人只看過白天鵝 (在歐洲人抵達澳洲之前不知道黑天鵝的存在),我可以藉由歸納法得到「所有的天鵝都是白色的。」這個結論,但是在這個命題當中明顯有一個問題,就是這個命題宣稱所有空間、時間中的天鵝都是白色的,但顯然我無法檢查所有空間時間的天鵝,因此用歸納法無法證明一個理論,也就是說如果實證主義者以其標準作為科學分界的話,他會讓熱力學第一定律也變為形上學,因為我們永遠無法以經驗證明它。
波普爾對分界問題的標準—可證偽性
既然我們無法藉由經驗事實證明一個理論 (參考邏輯實證主義),那麼要用什麼作為科學的分界標準呢?首先,我們需要先分析科學理論的特性。科學理論是由語句 (statements) 組成,波普爾將不同種類的語句區分如下,首先是單稱語句 (singular statement) 和全稱語句 (universal statement),見表一。單稱語句用來描述特定對象或事件,例如,「這隻天鵝是白色的。」,而全稱語句則是描述所有此種類對象, 例如「所有天鵝都是白色的。」。進一步,全稱語句可以被分為兩種,分別是數量性全稱語句 (numerical universal statement) 和嚴格性全稱語句 (strictly universal statement),數量性全稱語句限於某一個種類在某一個時間空間中的所有對象,例如,「現在這個湖裡所有的天鵝都是白色的。」,其可以被證明也可以被證偽,因為我們只要把那個湖裡的天鵝數完就可以得知,相對地,嚴格性全稱語句則是不限於任何時間空間,例如,「所有的天鵝都是白色的。」,其無法被證明只能被證偽,因為,我們無法把宇宙裡所有空間和時間中的天鵝全部數完來證明所有的天鵝都是白色的,但是只要我們找到一隻黑天鵝,我們就可以證偽這個語句。
波普爾認為,科學語句具有嚴格性全稱語句的特性。當然,有人可以說科學語句為什麼不該是數量性全稱語句,波普爾強調這是一個為了確保科學有成效 (fruitful) 的約定、慣例(convention),我想是因為嚴格性全稱語句不限空間和時間能夠增加其預測性,使其更能夠被測試。
接著,如果把嚴格性全稱語句做否定,我們會得到嚴格性存在語句 (strictly existential statement),例如,嚴格性全稱語句「所有的天鵝都是白色的。」的否定是嚴格性存在語句「有一隻天鵝是黑色的。」,反之亦然,其特性見表一。與嚴格性全稱語句相比,嚴格性存在語句可以被證明但無法被證偽,因為我們只要至少找到一隻黑天鵝即證明語句,但是我們證偽有一隻黑天鵝需要搜尋全宇宙,是不可能的。了解嚴格性全稱語句和嚴格性存在語句互為否定關係後,科學定律可以被寫為嚴格性存在語句的否定,例如,熱力學第一定律:「一個孤立系統的內能是恆定的。」(嚴格性全稱語句) 等價於「不存在一個永動機。」(嚴格性存在語句的否定)。
最後我們還要談一下什麼樣的語句可以用來測試科學理論,那就是基本語句 (basic statement),基本語句描述一個簡單事實 (simple fact),這個事實需要可被跨主體 (inter-subjectively) 地觀察 (observe) 並測試 (簡單來說,就是有重複性),例如,「在澳洲某座湖有隻黑天鵝。」,只要透過觀測,其就可以被證明或證偽,基本語句使科學是經驗的 (empirical) 。基本語句與單稱語句不一樣的地方在於雖然都是描述某特定時空的一個事件,但是單稱語句不一定可被觀測,例如,「在我昨晚的夢裡有一隻黑天鵝」,相對的,基本語句卻可以,舉例如前。在邏輯上來說,基本語句是一種單稱語句,但單稱語句不一定是基本語句。
表一、本書中的語句

釐清科學理論語句為嚴格性存在語句後,波普爾提出界定科學與形上學的分界在於可證偽性。回到我們前面的例子,占星術不科學的理由是因為若我們想要證偽「處女座很龜毛。」這個語句,除了有觀測上的困難,就算真的找到一個例外,我可以找到一個臨時性輔助假說 (ad hoc auxiliary hypothesis) 來挽救原先假說,例如說他「月亮在射手座,帶來隨興、樂觀的特質。」,使其無法被證偽,因此占星術不是科學,但是熱力學第一定律可以用焦耳熱功當量實驗觀測使其可證偽,因此它是科學的。
波普爾回應約定主義 (conventionalism)
波普爾主張以「可證偽性」作為科學與形上學的分界會受到約定主義反對,約定主義者認為科學定律之所以能以簡單 (simple) 的形式表達,是人為創造、發明、約定的結果,而不是自然的本質是簡單的,換句話說,不是自然的特性決定理論的建構,是理論的建構決定觀察者想觀測到什麼特性。例如,我們說一個鐘是精準的,或是尺是剛性的 (rigid),是由我們決定採取的力學公理所決定的,並不是自然本身賦予其準確性或是剛性。在這個框架下,觀察無法證偽理論,因為,觀察或科學測量結果是透過科學理論決定的。因此,當實驗結果與理論預期不一致時,約定主義者會說「我們對於理論系統的精通性還不夠。」,或是,他們會用臨時性輔助假說 (ad hoc auxiliary hypothesis) 來拯救這個理論,一個極端的例子是「這個實驗者不可靠。」,或是修改定義,例如,「黑天鵝也是白天鵝的一種。」。波普爾認為,約定主義邏輯上是自我一致的 (內部沒有矛盾),但波普爾依然反對它,因為,若我們採取了約定主義,我們會讓科學喪失了它的目的,也就是產生新發現;我們會不斷花時間在挽救舊有的理論,波普爾認為,我們因該對證偽性實驗感到高興,因為它讓我們開啟發展新理論、認識新世界的契機。需要注意的是,採取「證偽性」作為科學與形上學的分界並不是邏輯推演的結果,而是一個決定 (decision) ,波普爾引用約瑟夫·布萊克 (Joseph Black) 的一段話作為這個決定的註解:
A nice adaptation of conditions will make almost any hypothesis agree with the phenomena. This will please the imagination but does not advance our knowledge.
我們用一個物理學的例子來說明波普爾的觀點,在19世紀末,科學家們認為物理學以致臻完善,晴空萬里中僅剩下兩朵小烏雲,其中一朵是邁克森—莫雷 (Michelson—Morley) 實驗無法支持以太 (一種假設性傳遞光的介質) 的存在,為了挽救以太理論,勞侖茲—費茲傑羅 (Lorentz–FitzGerald) 的收縮假設 (contraction hypothesis) 被提出。在討論勞侖茲—費茲傑羅收縮是如何挽救以太理論之前,我們先來談邁克森—莫雷實驗:

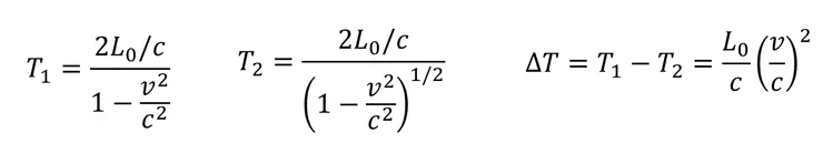
如左圖,假設以太在宇宙中是靜止的,當地球繞著太陽公轉時 (速度v),地球與以太的相對運動會產生一個逆向的以太風 (-v),此時當光源產生的光線經過分光鏡分光後,平行於地球運動方向的光線和垂直於地球運動的光線經過鏡子反射後雖然都傳遞2L0的距離,但是因為傳遞兩條光線的以太風速度不一樣,所以光線傳遞的速度、所傳遞的時間也會不一樣,其中時間分別為T1和T2,產生的相位差ΔT。T1 、T2和ΔT可以分別寫成:

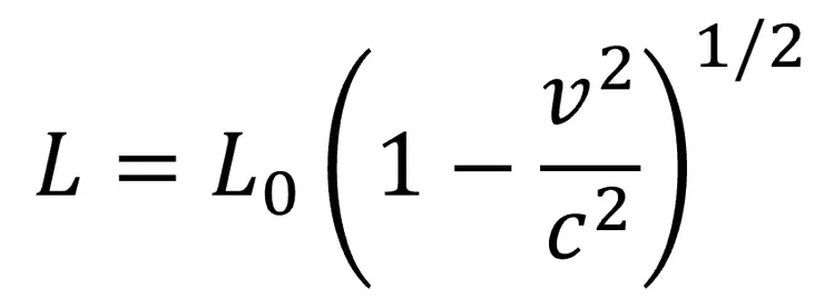
其中c為光速。邁克森—莫雷實驗理論上可偵測到的相位差是此相位差的兩倍,但結果測不到明顯的相位差,無法支持以太存在。為了挽救以太理論,費茲傑羅提出,或許平行於地球的L0因為運動,長度會收縮變成L,收縮程度與地球運動速度v和光速c有關,表示如下:

如果我們把L帶進T1中的L0,我們會發現delta T等於零,符合實驗結果。雖然這個假說成功拯救了以太理論,但後續會需要其他輔助假說來避免它被其他實驗證偽 (ex: Kennedy–Thorndike experiment需要用時間膨脹拯救),讓以太理論變得更複雜。相對的,愛因斯坦在狹義相對論中直接認定以太不存在並假定「真空中的光速獨立於參考系」,預測了以太理論無法預測的結果 (長度收縮、時間膨脹),波普爾認為,狹義相對論中可測試性程度 (degree of testability) 勝過以太理論,後續的章節我們會繼續討論何謂可測試性程度。
在此,波普爾想表達的是,為了讓科學有成效,我們拒絕像約定主義者不斷的利用臨時輔助假設或修改定義來躲避理論被證偽,這不是科學的目標,目標是讓理論接受最嚴謹、嚴格的測試 (rigorous tests),他用天擇來比喻這樣的測試,也就是讓最適者生存的理論留下來。
小結論
波普爾告訴我們,會說一個語句是「科學」的,是因為其具有「可證偽性」。在這套方法中,首先,現代科學是透過理論引導,作出預測,再藉由實驗測試理論,若出現證偽實驗,則啟發新理論。第二,理論永遠無法被「證明」,歷史也告訴我們,即使是物理學基石強者如牛頓力學,我們也無法證明它,若抱持邏輯實證主義的觀點,我們會落入歸納法的陷阱,認為我們已經證明牛頓力學而無法接受相對論,也無法獲得其帶給我們全新的世界觀。第三,雖然像約定主義者一樣用臨時性輔助假設、定義來避免理論被證偽符合邏輯,但是,這不是一個讓科學有成效的方法,以太理論的例子可見一斑。我們應使用的科學方法應該是:要讓理論經過最嚴謹、最嚴格的測試,通過證偽的挑戰,選擇最適者生存的理論 ,我想,就是需要保持批判性思考 (critical thinking)。最後,波普爾用一個比喻來科學的處境: 科學是一座建立在沼澤上的大廈,我們往下打樁,最終停下並不是因為我們碰到了堅固地基,而是因為這座建築物暫時堪用。
延伸問題
讀到這裡,可能有個疑問,既然我們無法證明一個理論,那找到的證據到底有什麼意義?一個證據和三個證據比,較多的證據有比較接近真理嗎?又或者,我要怎麼比較兩個理論的優劣?這些問題會在下一篇慢慢回答。
參考資料
- Popper, Karl. The logic of scientific discovery. Routledge, 2005.
- Book Summary: Karl Popper's "The Logic of Scientific Discovery" - part 1 https://youtu.be/L4uGxAPud0Q?si=E7ppjGM4PMvngIS0
- Book Summary: Karl Popper's "The Logic of Scientific Discovery" - part 2 https://youtu.be/XElnokghCZ8?si=5e5goteZkH0luSdQ
- Benson, Harris. University physics, second revised edition, 2013.

















