清領時期,文山稱「拳山堡」,其中,內湖庄、新興庄屬現在木柵,在 1899 到 1904 年繪製的〈台灣堡圖〉上,都可以看到內湖庄的範圍。
而「木柵」在當時並不是行政區,而是屬於內湖庄底下的一個聚落;景美當時名為「景尾」,也同屬內湖庄。這些轄區歷經清領、日治時期多次的重劃整併,一直到戰後 1950 年行政區重整後,木柵與景尾才分別成為木柵鄉與景美鎮。
不過「內湖」這個名稱,與今日台北市的內湖並無關聯。早期地名多以台語命名,「湖」指的是山谷中的低窪地,而不是湖泊。像竹子湖、奮起湖都是同樣的意思。
至於為何叫木柵?木柵是甚麼呢?「文山公民會館」裡可以找到解答!

拳山堡圖

清代道光年間臺灣進士鄭用錫所撰《淡水廳志》內標註「拳山、暗坑仔、內湖」等區域

清同治十年淡水同知陳培桂修《淡水廳志》有關拳山堡地名有「拳山保、大坪林、萬盛庒」
【文山公民會館】
公民會館的前身為校長宿舍,興建於1927年,原是提供景尾公學校內湖分校(後為木柵國小)校長居住使用。
木柵國小的歷史可追溯至 1905 年,最初為景尾公學校的分班,戰後逐步發展為木柵國民學校。1946 年,劉山銘接任戰後第三任校長,在校服務長達二十三年,治校嚴謹,也深受地方居民敬重。
劉校長自上任後便與家人入住這棟宿舍,一住就是二十多年,是居住最久的一任校長。1969 年退休後仍在此生活,1982 年辭世後,夫人繼續居住至 1992 年。其後,這棟日式宿舍便長期閒置。
1999 年,因木柵國小計畫拆除老宿舍,文山社區大學與文山區公所共同召開討論會,社區居民也透過「地方領袖工作坊」提出保留老宿舍、轉型為市民公共空間的構想。建築師與社區團體主張,日治時期的公學校校長宿舍多已拆除,木柵這棟尤具歷史價值,逐漸凝聚將其活化為公民會館的共識。
在各單位協調後,決定保留老宿舍並進行活化,同時於旁邊增建新式展覽館。修復工程由孫啟榕建築師負責,並於 2002 年完工啟用,成為今日的文山公民會館。
這座 1927 年建造的日式宿舍,和洋折衷的建築風格及細膩的工法,包括菱形通氣窗、優美的車寄雨遮、單邊裝飾柱、洗石子工藝與抬高基座的透氣孔等,具有工藝、歷史及地方特色,是木柵地區難得保留下來的歷史建築。

文山公民會館

文山公民會館

文山公民會館

文山公民會館,菱形通氣窗

文山公民會館,細膩的洗石子工法與國防色磚

洗石子柱

文山公民會館,拱圈迴廊

文山公民會館

文山公民會館,大廣間
【木柵地名緣由】
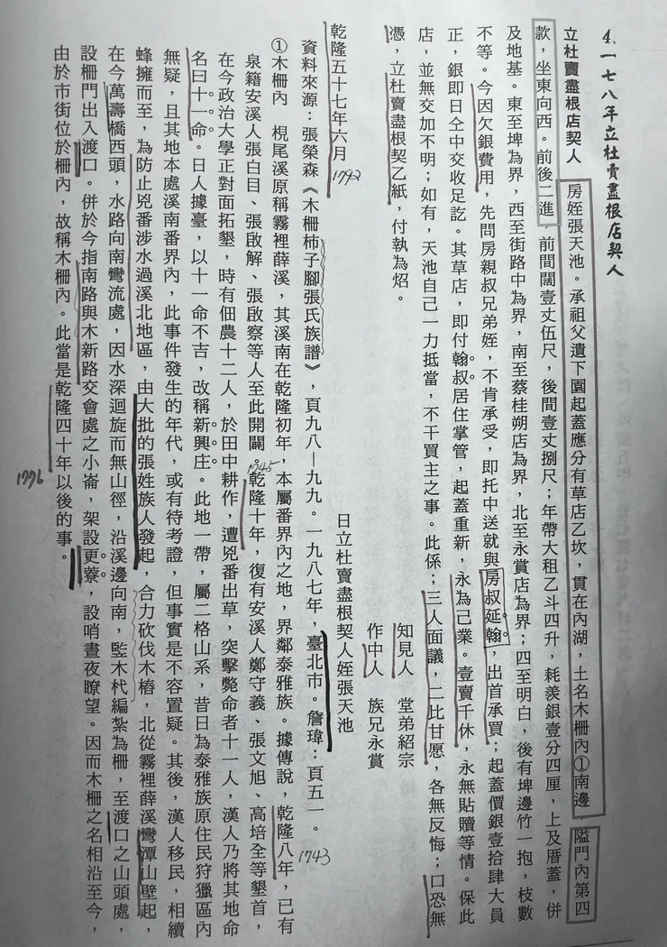
「木柵」這個地名,最早可追溯到乾隆五十七年(1792)六月的一份契約書。根據《木柵柿子腳張氏族譜》,有一位張姓族人因為欠錢,讓渡土地房產給叔叔,他在契約上清楚寫明所在地是「內湖、土名木柵」。這份契約如今仍保存於張氏族譜中,是目前見到最早明確記載「木柵」名稱的文件。
根據《文山區志》的整理,張姓族人最早在 1743 年便已進入木柵一帶開墾;1745 年,又有族人渡過景美溪,到今日政大附近開墾。不久之後,發生「十二人耕作、十一人遇害」的流血事件,因此對岸的聚落一度被稱為「十一命」,後來因名稱不吉,改稱「新興」,即今天的萬興里。
正因為這樁流血事件,張氏族人為保護聚落,便開始號召族人砍筏木樁、編築防禦柵欄。柵欄從萬壽橋一帶開始,一直圍到渡船頭(指南溪出入口附近)。沿線還設置隘寮,設立更哨,派人日夜瞭望,今天仍可在更寮山的地名中看到痕跡。道南橋附近也留有紀念當年事件的碑,記錄族人因遭出草而築柵防衛的歷史。
以木頭圍築防禦工事,是當時漢人在山邊開墾的常見方式;而「木柵」正是因為這道木製柵欄而得名。
走進文山公民會館,後方庭院的圍牆邊,就架著一整排依史料復原的「木柵」,訴說清代墾民在這片土地上防禦、拓墾與族群互動的故事。

《木柵柿子腳張氏族譜》(文字、圖片來源:顏文魁老師)

文山公民會館內的「木柵」還原

木柵說明牌,可惜上半部斑駁損毀,並未整理
【張傳生-木柵1925年秋天】
「文山公民會館」大廳入口處,原本有張傳生的兩幅手繪畫作「木柵1925年秋天」與「景尾1943年」,透過藝術牆展現,是回顧木柵、景美兩地歷史的重要圖繪。(※現已撤除)
張傳生出生於木柵,他在景美行醫50年,對地方景物相當熟悉。他所繪的〈木柵1925年秋天〉,是在九十歲高齡時憑記憶重繪童年地景,家旁熟黃的稻田、翠綠竹林、清澈的景美溪,甚至是小時候上下學的祕密通道,全都入圖,老家古厝還以藍色屋瓦標示。
這幅畫的價值在於,它以極高的細節還原了百年前木柵的面貌,木柵公學校、米線窟、渡船頭、文山教會、娘仔間(養蠶場)、龜山、集應廟,甚至連豬屠場的位置都能辨識。彷彿一張凝住時間的地景圖,為木柵留下珍貴的視覺史料。

張傳生《木柵1925年秋天》局部。鉅細靡遺描繪了童年時期的地景。(圖片來源:聯合報)

張傳生《木柵1925年秋天》高度環原歷史現場。(圖片來源:顏文魁老師)
【木柵國小、御大禮植樹紀念碑】
離開文山公民會館,沿著木柵路三段來到木柵國小。
木柵國小的前身是 景尾公學校內湖分校,成立於 1906 年。1911 年,學校改稱 木柵公學校,自此「木柵」這個地名正式用於行政與教育機關。1941 年,學校再度更名為 木柵國民學校。也就是說,雖然 木柵鄉直到 1950 年才正式成立,但「木柵」這個名稱自 1911 年便開始逐漸取代「內湖」,成為地方正式使用的地名。
走進校門,左側警衛室後方的大樹旁,橫躺着一塊石碑,正面刻著「御大禮記念樹」、背面刻著「木柵公學校...」等字樣。這塊碑是 1928 年(昭和三年)木柵公學校為紀念昭和天皇登基大典而立。當時台灣多所公學校都會在「御大禮」時舉行植樹活動並設碑紀念,目前台北地區仍能見到的同類紀念碑僅少數幾處,例如東園國小、大安公學校(今北教大附小)與金山國小等。
不過,比較讓人不明白的是,為何是昭和三年才立碑呢?原來,依日本皇室習俗,大正天皇駕崩後,要守喪三年昭和才能正式登基,所以才遲在昭和三年舉行登基大典。
木柵國小的這塊碑,是百年前殖民教育留下的歷史痕跡,也讓人得以從一塊小小石碑,看見當時制度、儀式與地方學校之間的連結。


校門旁標註「木柵公學校1911-1941」



【忠魂碑、畜魂碑】
來到文山區公所後方、木新路一段、靠近開元街正在施工中的圍籬裡頭,也有兩塊重要石碑,一塊是忠魂碑、另一塊是畜魂碑。
1895 年台灣被割讓後,文山地區曾發生多起抗日事件。傳說中,日本警察在木柵老街頂店(今開元街)巡查時遭襲,六名日警被殺,另有人逃往六張犁求援;日警派人由景尾(今景美)欲進入木柵捉拿犯人,但因問路時,路人誤把「頂店」聽成「新店」,才讓木柵僥倖避過更大的衝突。
1897 年,日本政府為紀念在深坑與木柵事件中喪生的警察,分別在深坑與木柵更寮山立下「忠魂碑」。不過,眼前這塊忠魂碑像無字天書般,上頭甚麼字都沒有。
原來,那是因為戰後,當時的木柵鄉長擔心年輕世代會誤解碑意,所以將碑文以水泥封覆,因此原刻文字已不可辨識。
2002 年,更寮山開發,地方文史工作者與社區人士共同爭取保存這座碑,將它移到文山公園,其後又移到更接近案發地點的現址公園。不過旁邊並未設立解說牌,路過居民應該不知道它背後的歷史。
另一塊昭和十二年(1937年)立的畜魂碑,字跡則清晰可見。
日治時期,木柵多數居民務農,豬肉並不容易取得。日本政府為管理稅收,禁止民間私宰,所有豬隻都必須送到指定屠宰場宰殺、蓋上紅印後才能販售。指南路一段十四巷內的磚造房,就是當年的木柵屠宰場。
日本人感念動物為人類付出生命,因此在屠宰場旁設置「畜魂碑」,供屠戶與豬販祭拜。此碑也清楚出現在 1959 年美國密蘇里大學龍荷華教授(Howard R. Long)出版的《The People of Mu-shan》(木柵人)一書的照片中。如今屠宰聲已成過去,只剩住在原屠場建物的謝家,每年農曆十二月四日仍會例行祭拜。
目前台北市僅存三塊日治時期的畜魂碑,分別在木柵、北投大豐公園與四獸山天寶宮外。它們不只是當時的生活見證,也是漢人「吃果子拜樹頭」的感恩文化,值得好好保存。


據說中油加油站附近,就是當年木柵事件案發地點

忠魂碑,上面的文字已被抹掉

畜魂碑

畜魂碑
★下一篇:文山行〔8〕走進木柵-從龜山到集應廟(下)
◎感謝文山社區大學 顏文魁老師領路解說
◎參考
1.文山公民會館/國家記憶庫
2.御大禮植樹記念碑
3.木柵國小
4.御大禮植樹記念碑之簡介
5.【歷史文物】忠魂碑、畜魂碑/木柵文史工作室
6.日本公文書的世界



















