
在 13.5 奈米波長下,所有透明材料幾乎都完全吸收光線,沒有任何實用的透鏡能用在曝光系統中,只有多層反射鏡可以提供足夠反射率,讓光線在系統內繼續前進。這代表 EUV 光學不再是過去折射式鏡頭的延伸,而是一套必須從頭定義規則的反射式系統。
這個系統涵蓋收集器、照明系統、反射式光罩與多鏡投影光學,四段光路共同決定 EUV 的解析度、對比度、光損與產能邊界。在這四段裡,最關鍵的光學元件都由 Zeiss 提供。EUV 的挑戰不是在某個單一環節「突破極限」,而是每片鏡面、每層多層膜、每一個光學界面都必須在極高精度下協同運作。能不能維持波前穩定、反射率是否一致、鏡片在受熱之後會不會變形,這些物理條件直接決定 ASML 機台的最終能力。因此,如果說 ASML 是整個系統的架構總工程師,那麼 Zeiss 更像是替這套架構畫出邊界的人。EUV 的光線能走多遠、解析度與產能能否再往下一個節點推進,最終都要回到 Zeiss 的光學工藝能做到什麼程度。
1. 為何 Zeiss 是不可替代的?
EUV 的光學鏈條由四段組成,彼此緊密相連:
- 收集器:把錫等離子光集中進系統
- 照明系統:將光場塑形為均勻、可控的照明分佈
- EUV 光罩:反射式鏡面,屬於光學的一部分
- 投影光學:由多片鏡組縮小圖樣並成像在晶圓上
在這四段裡,收集器、照明系統與投影鏡頭全部出自 Zeiss,光罩本身則由 Zeiss 提供檢測與修補設備。換句話說,整個 EUV 光學體系在設計時,天然就圍繞著 Zeiss 能做到的極限來規畫。
下面分段看,為什麼這四段光路缺一不可,也為什麼最後會集中到同一間公司手上。
1.1|收集器:面對高熱負載與錫飛濺的第一道鏡面
錫等離子光源伴隨大量碎屑、離子與熱能。收集器的任務,是在這種極端環境下仍維持高反射率與精準幾何形狀,把原本發散、混雜噪聲的光場轉成可用的 EUV 光束。
關鍵挑戰包括:
- 鏡面長時間暴露在高能量 EUV 與熱輻射之下
- 錫飛濺持續在鏡面上沉積,反射率會快速下降
- 清潔必須在真空中進行,不能破壞多層膜結構
Zeiss 需要同時設計鏡面曲率、多層膜配方、熱載管理與在線清潔方式,**讓收集器一方面能承受光源帶來的「髒與熱」,另一方面又不至於過快失效。**這種「光學設計 × 多層膜 × 熱機械 × 化學清潔」的組合能力,一般傳統光學公司很難同時具備。
1.2|照明系統:光在進入光罩前最後一次被控制
EUV 照明系統不再依賴光導纖維或透鏡,而是由多片反射鏡來控制入射角、均勻度與照明形狀。其核心難度包括:
- 每片鏡子都必須維持極低波前誤差,避免在照明端就引入像差
- 需要在不同角度與偏振條件下維持穩定反射率
- 必須先在照明端預先補償光罩的 3D 效應與後段像差
照明品質直接影響對比度、線寬控制與批次間的重複性。在 EUV 系統中,照明不只是「讓光變亮、變均勻」這麼簡單,而是整個成像系統的第一道修正層。這也是為什麼這段光路最終完全交由 Zeiss 設計與製造。
1.3|EUV 光罩:它不是紙板,而是一片光學鏡面
在 EUV 中,光罩不再是透明基板加上吸收層,而是一片多層反射鏡,上面再加吸收層形成圖樣,因此本質上是光學系統的一部分,而不只是被動載體。這使得 EUV 光罩有三個關鍵差異:
- 光罩是反射面:入射角固定在約 6 度,斜入射會帶來陰影效應,造成線寬偏移與圖形變形。
- 多層膜與吸收層共同決定成像:反射率、相位差與吸收層厚度的微小誤差,都會直接改變波前。
- 缺陷不再容易被傳統顯微鏡看見:部分缺陷必須在 EUV 波長或等效條件下才能顯影。
因此 Zeiss 不只做鏡片,也提供光罩檢測與修補設備,從 mask blank 品質、缺陷找出,到原子級修補都一條龍處理。在 EUV 供應鏈裡,Zeiss 形成「鏡片 + 光罩修補」的完整光學生態。
1.4|投影光學:決定 EUV 能做到哪個節點的核心
投影光學是一組由多片反射鏡構成的系統,目前主流 EUV 掃描機使用六片鏡面。每片鏡面都需要:
- 約 50 皮米等級的表面形貌誤差
- 高均勻度的 Mo/Si 多層膜結構
- 在長時間 EUV 輻射與熱負載下仍能維持形狀穩定
整組鏡頭必須在數十公分的結構長度中,把波前像差壓到 0.2 奈米量級。這裡存在幾個根本限制:
- 每面鏡子的反射率約 70%,鏡面數量一多,光能就以指數方式下降
- 鏡面形貌誤差無法靠演算法完全校正,只能靠工藝直接壓低
- 熱變形會直接反映在線寬與對比度上
全球只有 Zeiss 同時具備:原子級拋光、多層膜沉積、離子束修整與完整波前量測設備,這讓 EUV 投影光學在短期內幾乎沒有可以替代的供應來源。
2. EUV 多層膜的物理基礎:反射率、界面品質與鏡面形狀控制

EUV 光學的核心,是工作在 13.5 奈米波段的多層反射鏡。在這個波段沒有可用的透明材料,整套光學只能依靠反射系統完成成像。
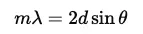
EUV 多層膜並不是單純依靠金屬自由電子反射,而是利用 Mo/Si 周期結構產生建設性干涉。其基本條件可以簡化為布拉格關係式:

其中 λ 為 13.5 奈米,d 是一組 Mo/Si 雙層的總厚度,θ 為入射角。每一個 Mo/Si 界面的折射率差異很小,單一界面的反射率只有約 1–2%。必須堆疊約 40–50 組,才能讓反射光在各界面間疊加成有用的反射峰。這帶來第一個系統性限制:
- 單面鏡子的反射率天花板約在 70% 左右
- 當整條光路需要 8–10 面鏡子時,最後只剩下約百分之一級別的光能落在晶圓上
因此,鏡片數量必須嚴格受限,曲率與幾何設計也必須在少數鏡面內完成所有成像需求。
2.1|界面粗糙與波前誤差:EUV 反射鏡必須平到 0.05 奈米
在多層膜中,每一層界面的形狀都會直接影響反射光相位。界面若有 0.1 奈米級的粗糙,就足以產生明顯散射,使亮度與對比度下降。EUV 對波前的要求大致在下列範圍:
- 反射鏡表面粗糙度要壓在約 0.05–0.07 奈米
- 波前 RMS 誤差維持在 0.2 奈米量級
- 不允許可量測的周期性起伏,避免在成像中形成鬼影或週期性誤差
反射系統中,任何表面高度變化都會被等效成兩倍的光程差,這使 EUV 鏡面的幾何精度要求遠高於一般光學系統。對 Zeiss 而言,這直接轉換成工藝門檻:
- 拋光需達到接近原子層級
- 離子束修整要能針對局部做皮米級調整
- 多層膜厚度誤差需壓到 0.1 奈米以下
沒有這些能力,就無法維持整個系統需要的波前品質。
2.2|反射率極限:界面擴散和吸收讓 EUV 永遠到不了 100%
理論上,如果界面完全銳利、材料完全純淨、多層膜厚度完全一致,反射率可以逼近 80%。實務上難以突破 70%,主要原因包括:
- Mo 與 Si 在界面發生原子擴散,形成約 0.2–0.3 奈米厚的過渡層,削弱干涉效果
- 多層膜上方需要緩衝與保護層,例如 Ru 或 SiO₂,這些材料本身也會吸收 EUV
- 反射帶寬很窄,僅約 2%,波長或入射角稍有偏離,反射率就會明顯下滑
- 高角度光線反射效率更低,照明與投影系統中的角度分佈,會讓不同區域反射率產生變化
因此 EUV 光學在設計時必須接受一個事實:每面鏡子都要損失約 30% 的光能,而且這幾乎無法用材料或結構大幅改善,只能在邊緣條件上微調。
2.3|熱負載與鏡片變形:EUV 反射鏡必須在發熱中維持原子級形狀
多層膜的反射帶寬非常窄,除了 13.5 奈米附近的光子,大多數能量都會被吸收並轉化成熱。這些熱會導致鏡片:
- 整體膨脹
- 局部形變
- 多層膜內部應力累積
- 反射率與波前穩定性隨時間緩慢漂移
熱負載往往達到數百瓦等級,因此鏡片背面必須有複雜的冷卻結構,讓溫度場盡可能均勻,避免產生梯度。若溫度分佈不均,鏡面形狀會出現極小但可量測的變化,而這些變化會直接反映在成像品質上。因此 EUV 鏡片的熱設計原則很簡單卻不容易達成:
- 迅速移除熱量
- 在移除過程中不引入新的機械應力
折射式鏡頭可以靠材料體積來平均溫度,EUV 多層反射鏡卻只能依賴表面幾十奈米厚的結構工作,任何局部變形都會被光線立即「看見」。
2.4|汙染與壽命:鏡片必須在 30,000 小時中維持穩定
EUV 光會促使鏡面表層發生各種化學反應,包括:
- 氧化造成不可逆變化
- 碳沉積造成反射率下降但可清潔
- 錫殘留造成局部反射率與波前扭曲
因此需要:
- 上方的 Ru 或 Si 類保護層
- 能在不破壞多層膜的前提下,去除碳與金屬殘留的清潔方法
- 精準控制真空腔體內的氣氛與殘留分子
鏡片壽命通常需要達到數年等級,這代表必須同時控制清潔頻率、沉積速率與熱環境,讓整體行為維持在設備可預測與可維修的範圍之內。
2.5|多層膜的整體結構:從底材到頂層的每一層都有其目的
一片 EUV 鏡片大致包含:
- 低熱膨脹係數的底材,例如 Zerodur
- 多層 Mo/Si 結構,負責主要反射
- 緩衝層,用來調整應力與介面
- 保護層,提高抗氧化與清潔耐受度
每一層都同時影響反射率、穩定性與壽命。舉例來說:
- 底材若有 0.1 奈米級變形,多層膜只會如實反映,不會自動把問題「抹平」
- 緩衝層太厚會吸收 EUV,太薄又無法有效消應力
- 保護層太薄容易被蝕刻或氧化,太厚則會改變相位與最佳反射條件
EUV 光學的難度不在某一層材料,而在所有層彼此牽動。這也是為什麼即使有公開文獻與配方,有能力把整個結構穩定量產出來的公司仍然非常少。
3. 收集器與照明系統:EUV 光束的第一段與第二段控制

當錫等離子體產生 EUV 光之後,這些光並不能直接照到光罩。中間必須先經過兩個關鍵階段:
- 收集器:從等離子體雜訊中提取可用光束
- 照明系統:將光束轉換成適合成像的照明分佈
這兩段決定了後端光學能否在合理的光量與對比條件下工作,也讓 Zeiss 的角色從光路一開始就深度介入。
3.1|收集器:從等離子噪聲中提取可用光
錫等離子光源同時產生:
- 大量帶電粒子與金屬蒸氣
- 宽角度分佈的 EUV 光
- 高瞬時熱負載
收集器通常採用非球面橢圓曲面設計,將光源放在斜焦點附近,目的在於:
- 將原本近乎半球發散的 EUV 光,壓縮成導向後段光學的光束
- 在不均勻的熱與光照條件下仍維持穩定形狀
- 配合在線清潔系統,控制錫沉積帶來的反射率下降
清潔方式多以活性氣體將錫轉換為揮發性化合物,在真空與高能環境下持續進行,而不讓鏡面結構受損。這種設計使收集器變成一個同時涵蓋光學、結構、熱與化學的多學科模組,自然也落在 Zeiss 這樣具備深厚光學與材料能力的供應商手中。
3.2|照明系統:成像前的最後一道光場整形
從收集器出來的光在空間與角度上仍然不適合直接成像。照明系統的任務,是把它轉換成投影系統能使用的光場,目標包含:
- 在 26×33 毫米左右的光罩範圍內維持高均勻度照明
- 控制入射角分佈,降低光罩 3D 效應與像差
- 管理光場中的空間頻率成分,支援細線寬所需的高頻訊號
照明系統由多片鏡面組成,每一片都帶有特定曲率與入射角設計,用來逐步重塑光場。均勻度若無法壓到約 0.3–0.5% 的範圍內,就會在晶圓上轉化為 CD 變動與良率損失。
EUV 中最困難的一部分,是光罩的三維結構對波前的影響。照明系統必須預先調整光場,在光罩前先做一次「前饋式修正」,讓後段投影鏡頭還有空間進行精細的像差補償。
3.3|為什麼收集器與照明系統也需要 Zeiss 的鏡片?
這兩個模組的設計目標與投影鏡頭不同,但在幾個共通點上要求同樣嚴苛:
- 需要高反射率、低散射的多層膜
- 鏡面形狀必須達到亞奈米級精度
- 在真空、高能量與高熱條件下維持穩定
- 多層膜厚度與角度誤差都必須在 0.1 奈米等級以下
因此,收集器與照明系統也必須依賴 Zeiss 的鏡片與設計能力。Zeiss 絕不只是「最後那組投影鏡頭的供應商」,而是從 EUV 光源離開的第一個反射面開始,就參與整條光路的設計與實現。
(延伸閱讀:LPP 的進化:ASML EUV 光源從雙脈衝到三脈衝的工程突破、EUV pellicle 的極限與未來材料戰:光罩護膜的材料挑戰、光刻極限的數學邊界:k₁、k₂ 與 EUV 時代的工藝窗口、光罩與先進製程的矛盾、從雷射到反射鏡:EUV 光源難題的三層地獄、光刻演進 5/6|EUV 光刻技術成為先進製程的唯一選擇)























