我們嘗試把:
🔐 秘密計算🕳 量子重力
🧠 資訊論宇宙
放進同一個理論框架。
這不是現成理論,而是一種「統一式觀點」。
一、起點:重力其實是資訊現象?
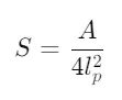
🔹 黑洞告訴我們什麼?
黑洞的關鍵公式:

這是 Jacob Bekenstein 與
Stephen Hawking 得出的結果。
意思是:
熵 ∝ 面積,不是體積。
這非常反直覺。
🔹 全息原理
由 Gerard 't Hooft
與 Leonard Susskind 提出:
三維空間的物理資訊,其實編碼在二維邊界上。
這就像:
- 空間 = 解密後的畫面
- 邊界 = 加密後的資料庫
二、秘密計算如何進場?
秘密計算的核心特徵:
可運算,但不可讀。
現在把這句話對應到量子重力。
三、糾纏 = 幾何?
2013年:
Juan Maldacena
與 Leonard Susskind 提出:
ER = EPR
意思是:
- 量子糾纏(EPR)
- 愛因斯坦-羅森橋(ER wormhole)
本質可能相同。
這代表:
空間幾何 = 糾纏結構
而糾纏本質上是:
分散式量子資訊共享。
這與:
- 多方安全計算(MPC)
- 門限秘密分享
極為相似。
四、宇宙作為一個秘密計算網路
假設:
1️⃣ 宇宙底層是量子位元網路
2️⃣ 糾纏是資訊通道
3️⃣ 時空是演算法輸出
那麼:
秘密計算量子重力加密狀態波函數不可讀不可觀測自由度多方共享糾纏解密測量計算成本能量
五、量子重力 = 同態宇宙?
在全同態加密中:
你可以在密文上做運算
而不需要解密。
這與量子場論很像:
- 我們從未看到「底層真實」
- 但定律依然有效
如果宇宙是「加密態」,
那麼:
時空是運算的同態投影。
六、黑洞 = 宇宙的加密邊界?
黑洞視界可能是:
- 極限資訊壓縮面
- 不可逆運算區域
- 熵最大化的秘密分享區
Hawking 輻射則像:
加密資訊重新釋出。
七、量子重力的資訊版本
目前一些方向:
🔹 AdS/CFT 對偶
邊界理論(CFT)完全編碼體積(AdS)
→ 類似「壓縮編碼」
🔹 量子錯誤更正碼(QEC)
有研究指出:
AdS/CFT 像一個量子錯誤更正碼。
這意味著:
時空本身是一種資訊保護結構。
八、統一圖景
我們可以提出一個統一敘述:
重力不是力,而是資訊壓縮幾何。
時空不是背景,而是秘密計算的輸出層。
宇宙可能是一個:
- 分散式
- 同態
- 自我演化的
- 量子加密運算系統
九、終極問題
如果宇宙本質是秘密計算:
- 誰在運算?
- 加密金鑰在哪?
- 是否存在「超觀測者」?
或更激進地:
觀測者本身就是解密機制。
十、最深層結論
將秘密計算與量子重力統一後:
1️⃣ 空間 = 糾纏網路
2️⃣ 重力 = 資訊壓縮梯度
3️⃣ 黑洞 = 最大加密狀態
4️⃣ 量子測量 = 解密過程
5️⃣ 熵增 = 不可逆運算成本























